1
svar
93
visningar
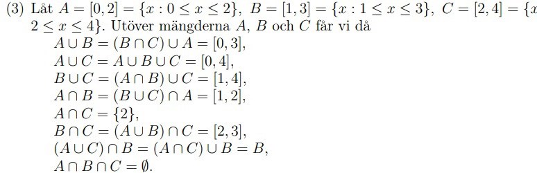
Mängder för sluten mängd

Mängderna är alltså:
Så att A={0,1,2} B={1,2,3} C={2,3,4}
Vi visuelarar detta med ett venndiagram:

Utifrån detta får jag rätt svar när jag ska hitta mängderna för skärningarna men inte för unionerna! Hur har jag tänkt fel? Jag fattar verkligen inte hur skärningen mellan alla kan vara tomma mängden, alla mängder innehåller väl 2?
Visa spoiler
Facit

Håller med dig.