MaoFy provet - Olikhet - fråga 27 (2016)

Jag multiplicerar HL med VLs nämnare, och viceversa, då får jag:
Yes, det ser ut att stämma!
Tänk på att vid multiplikation och division med negativa tal så byter olikheten riktning (5>3 men -5<-3). Det gäller åtminståne när du dividerar med 1-a eftersom a>1, men eventuellt även vid multiplikation med x+/-1, beroende på vad x är (dock inte vid förlängning, eftersom du då både multiplicerar och dividerar samtidigt).
Däremot verkar du få rätt svar ändå, eftersom du vänder på tecknet när du "byter sida". Två fel som tog ut varandra alltså.
haraldfreij skrev :Däremot verkar du få rätt svar ändå, eftersom du vänder på tecknet när du "byter sida". Två fel som tog ut varandra alltså.
Jag måste lära mig att kolla igenom ekvation noga, tyvärr det haraldfreij skriver verkar stämma.
haraldfreij skrev :Tänk på att vid multiplikation och division med negativa tal så byter olikheten riktning (5>3 men -5<-3). Det gäller åtminståne när du dividerar med 1-a eftersom a>1, men eventuellt även vid multiplikation med x+/-1, beroende på vad x är (dock inte vid förlängning, eftersom du då både multiplicerar och dividerar samtidigt).
Hmmm jag vet inte riktigt om jag förstår, det första uttrycket efter förlängningen stämmer alltså då jag multiplicerar båda led, okej. Men sen när jag är vid den fjärde raden, dividerar båda leden med (1-a) vilket är negativt så blir HL positivt då det innan var negativt. Harifrån blir jag osäker, då blir x >= absolut beloppet av HL? Tackar!!
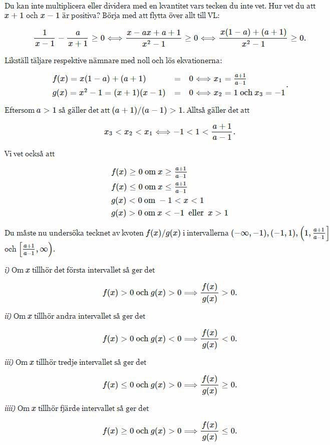
I andra steget multiplicerar du båda sidor med x^2-1, så det är bara sant om x^2>1. Finns det tillåtna lösningar x>1 så är de ju större än andra, så i så fall behöver vi inte gå tillbaka och kolla andra lösningar. Hittar vi inga såna lösningar får vi backa hit och vända på tecknet, och sen leta vidare efter lösningar med |x|<1)
När du sedan delar med 1-a måste du vända på tecknet eftersom a>1.
I steget efter gör du två saker: Du förkortar HL med -1 (påverkar inte tecknet, du gör samma i täljare och nämnare) och byter plats på HL och VL (jag förstår inte varför) men gör du det måste du också vända på tecknet (det som stod i VL tidigare är ju i HL nu, och vice versa). Nu har du alltså missat att vända på tecknet två gånger, vilket gör att allt är rätt igen fast du gjort två fel.
Och i det sista läget så ser vi att eftersom
(kvot mellan två positiva tal, täljare > nämnare) så finns det lösningar x>1, vilket gör att vi slipper leta efter lösningar x<1 (vi ville ju bara hitta den största lösningen).
haraldfreij skrev :I andra steget multiplicerar du båda sidor med x^2-1, så det är bara sant om x^2>1. Finns det tillåtna lösningar x>1 så är de ju större än andra, så i så fall behöver vi inte gå tillbaka och kolla andra lösningar. Hittar vi inga såna lösningar får vi backa hit och vända på tecknet, och sen leta vidare efter lösningar med |x|<1)
När du sedan delar med 1-a måste du vända på tecknet eftersom a>1.
I steget efter gör du två saker: Du förkortar HL med -1 (påverkar inte tecknet, du gör samma i täljare och nämnare) och byter plats på HL och VL (jag förstår inte varför) men gör du det måste du också vända på tecknet (det som stod i VL tidigare är ju i HL nu, och vice versa). Nu har du alltså missat att vända på tecknet två gånger, vilket gör att allt är rätt igen fast du gjort två fel.
Jag tänkte såhära(innan jag visste att HL blev positivt och att man därmed skulle byta tecken): då x>= (-a-1)/(1-a) så vet man ju att x är större eller lika med HL, man vet alltså inte just det största värdet för X. Om jag då byter VL till HL och viceversa så kan jag få fram vad största värdet på x är, DOCK ser jag nu att det såklart blir "-x" i HL då...
Om vi nu lämnar det där :), och tittar på x=< (-1-a)/(1-a), borde jag då bara inse att det största värdet x kan anta är när VL=HL? Och att HL är positivt och kan skrivas om som (a+1)/(a-1) ?
Lirim.K: Det går utmärkt att multiplicera med x-1, och få en olikhet som endast är giltig för x>1, och en annan som är giltig för x<1. Löser vi den första olikheten ser vi att det finns x>1 som löser den, och eftersom vi bara sökte det största x som löste ekvationen behöver vi inte lösa den andra.

