märk vid liter
Jag behöver hjälp med uppgift 3) som är att bestämma märkningar vid varje liter.

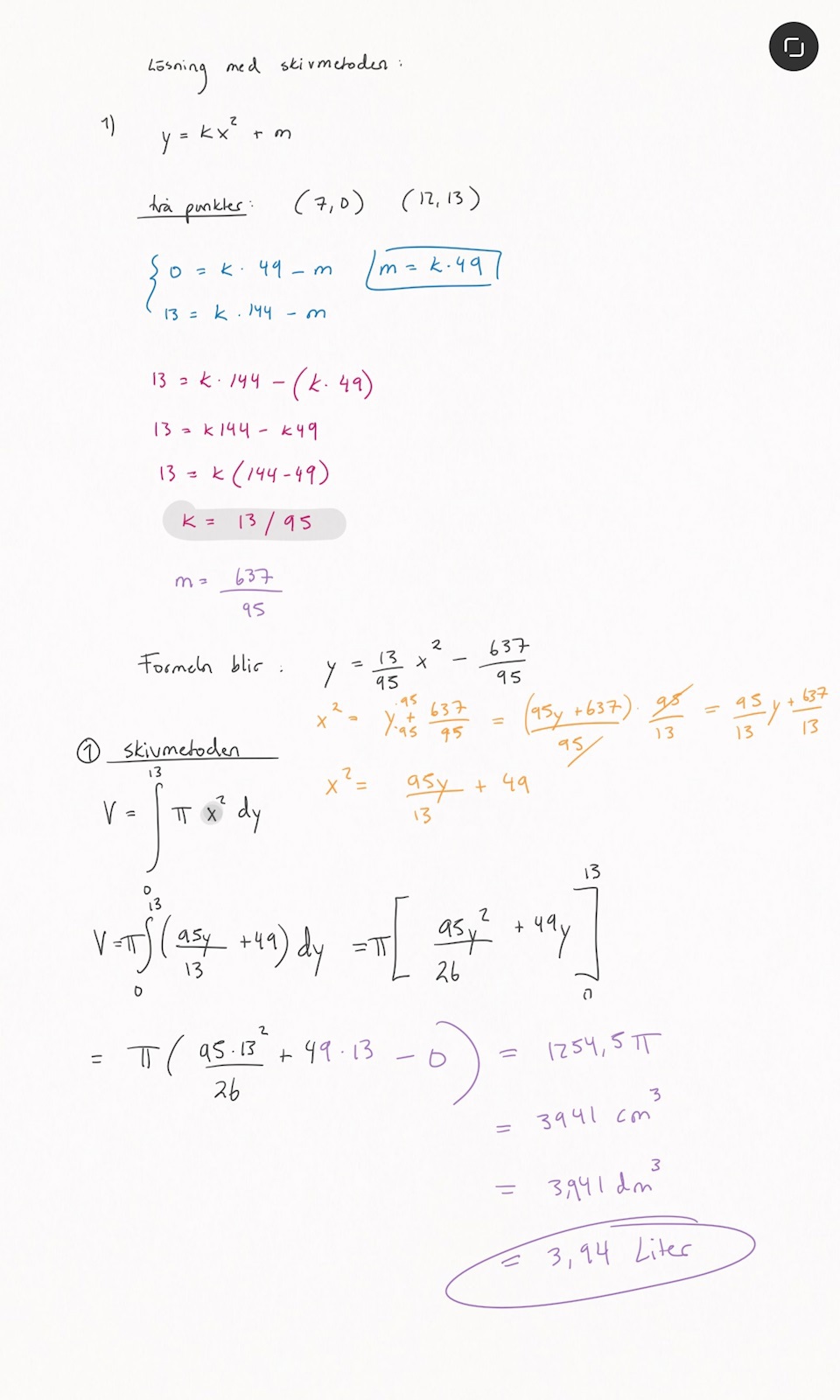
Jag har löst 1) och fick svaret att volymen på skålen på bilden i uppgiften är 3,41 liter 
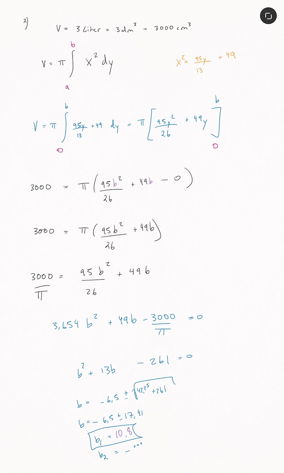
I uppgift 2) har jag gjort att en skål med designen så här så att det rymmer volym 3 liter:
Skålen har höjden 10,8 cm (0 - 10,8 cm)

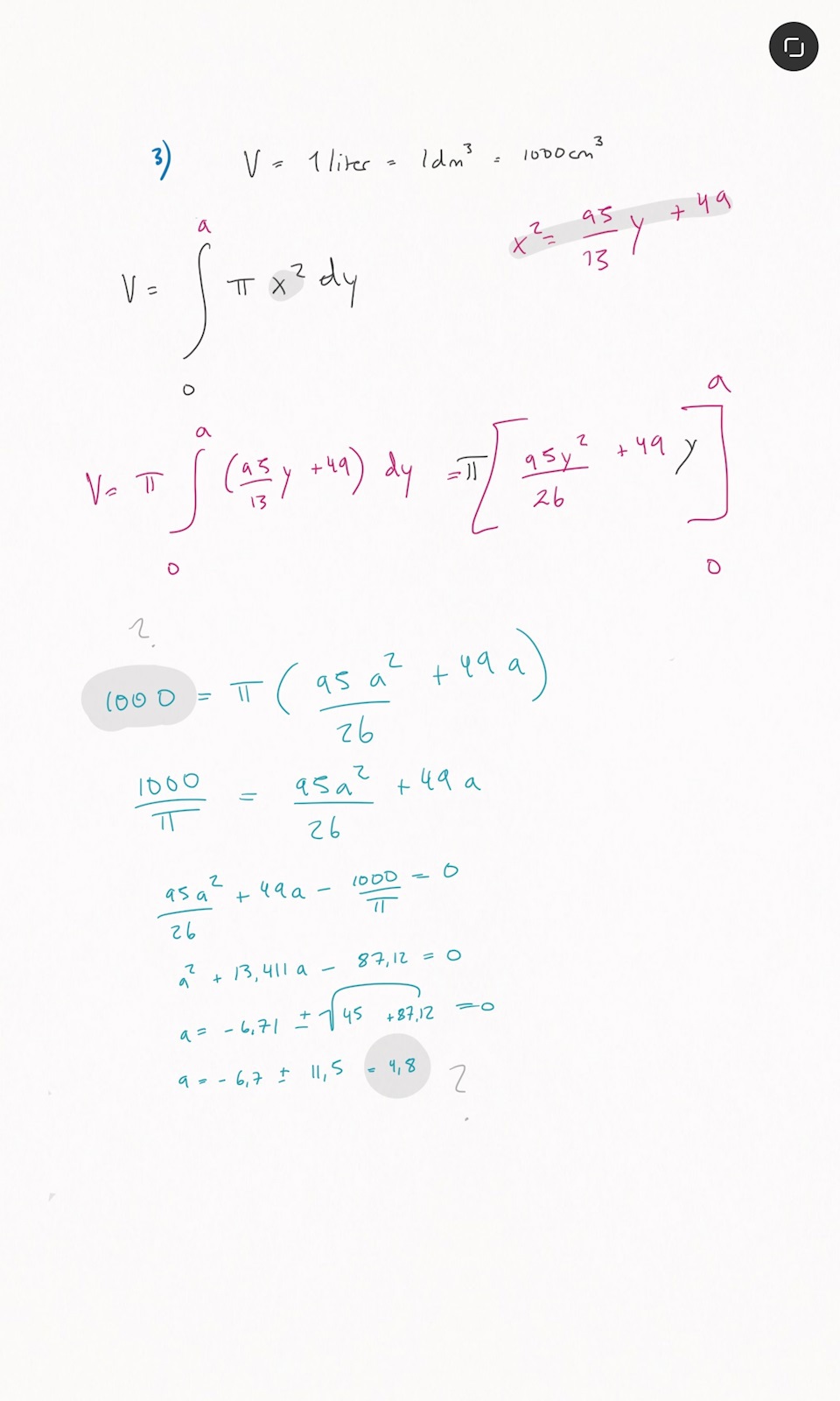
Däremot i uppgift 3) vet jag inte hur jag ska göra när jag ska bestämma märkningarna vid varje liter. Tänker att jag bör bestämma vad först 1 liter ska märkas.
Ska jag anta att jag gör som i uppgift 2) men ska jag sätta att volymen ska vara 1000cm^3 eller 1 liter? Får ett konstigt svar.
Skulle vara tacksam för hjälp. Tror jag kanske att jag har fel metod eller räknat fel? Hur ska jag göra?

Det är väl rimligt att om 3liters strecket ligger på 10,8 så borde 1liters ligger på ett värde som är större än 10,8/3 eftersom skålen vidgar sig så 4,8 är inget dumt värde. Metoden är i a f helt korrekt som jag ser det.
Tack, tänkte inte på att skålen vidgar sig.