1
svar
136
visningar
Axelförband
Jag ska lösa uppgiften nedan:

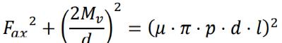
Jag är på a-delen. Enligt facit ska man först använda formeln![]()
med F=0 för att få ut p (trycket) och sen använda samma formel igen, fast denna gången med M=0, för att räkna ut kraften. Hur går det ihop? Hur vet man när M respektive F ska vara 0?
Hej,
Jag sitter med i princip exakt samma kurs just nu, och enligt min lärobok hade man kunnat lösa den såhär:
Härifrån bör du kunna få ut p och sedan föra in den i det värdet i ekvation (1). Får du rätt svar ifall du testar detta?