mass-centrum
Förstår inte riktigt, om X(T)=0 , då blir väl m*X(t)=0 ?
Varför har man skrivit m=?


xT = yT = 0
m behös då zT ≠ 0.
Dr. G skrev:xT = yT = 0
m behös då zT ≠ 0.
hur vet man att xT och yT är symmetriska men inte zT?
Sedan förstår jag inte hur man fick fram nya gränserna när man omvandlar till polära koordinater.
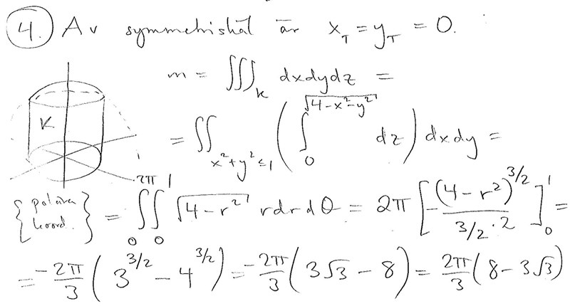
De tre villkoren som beskriver kroppen är i tur och ordning
1. En sfär med centrum i origo med radie 2.
2. En cylinder centrerad runt z-axeln med radie 1.
3. Positiva z-värden.
Försök rita upp detta!
Alla z-koordinater som ingår i integrationsområdet är positiva. Då måste zT > 0.
För x och y så är området symmetriskt kring z-axeln. Det blir som i envariabelfallet att integrera en udda funktion på ett symmetriskt intervall, integralen blir 0.
Dr. G skrev:De tre villkoren som beskriver kroppen är i tur och ordning
1. En sfär med centrum i origo med radie 2.
2. En cylinder centrerad runt z-axeln med radie 1.
3. Positiva z-värden.
Försök rita upp detta!
Alla z-koordinater som ingår i integrationsområdet är positiva. Då måste zT > 0.
För x och y så är området symmetriskt kring z-axeln. Det blir som i envariabelfallet att integrera en udda funktion på ett symmetriskt intervall, integralen blir 0.
tack, hur fick man integralgränsen 2pi till 0 och 1 till 0?
Du integrerar över en cirkel, då skall vinkeln gå från 0 till 2 pi och r gå från 0 till radien när du går över till polära koordinater.