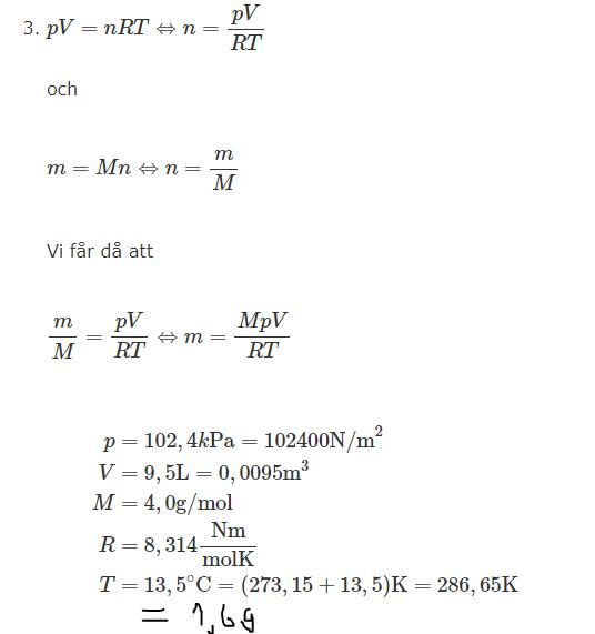
massa helium?

lösningsförslag:

mina frågor:
1. varför utgår man från 0,0095m3 och inte 9,5 dm3
2. eftersom det förmodligen är heliumgas, bör inte det vara H2 då? och pga det blir molmassan 8g/mol
1, Det går att använda dm3 men isåfall måste du ta hänsyn till att svaret blir 1000 ggr större, alltså i kilogram. Lättast är ju att bara köra allt i m, då stämmer ju enheterna
2, Det stämmer. I uppgiften har hen dock skrivit helium och inte heliumgas. Hör med din lärare om ni ska följa uppgifterna exakt eller göra antaganden.
Helium är en ädelgas, sådana är enatomiga, till skillnad från andra gasformiga grundämnen, exvis väte som bildar tvåatomiga molekyler
Tack mrpotatohead
Ture skrev:Helium är en ädelgas, sådana är enatomiga, till skillnad från andra gasformiga grundämnen, exvis väte som bildar tvåatomiga molekyler
jaha, juste, det är alltså rätt att det ska vara molmassan av 1 He endast då? och givetvis är det så med resten av ädelgaserna, tänkte inte på det..
tack snälla
naturnatur1 skrev:
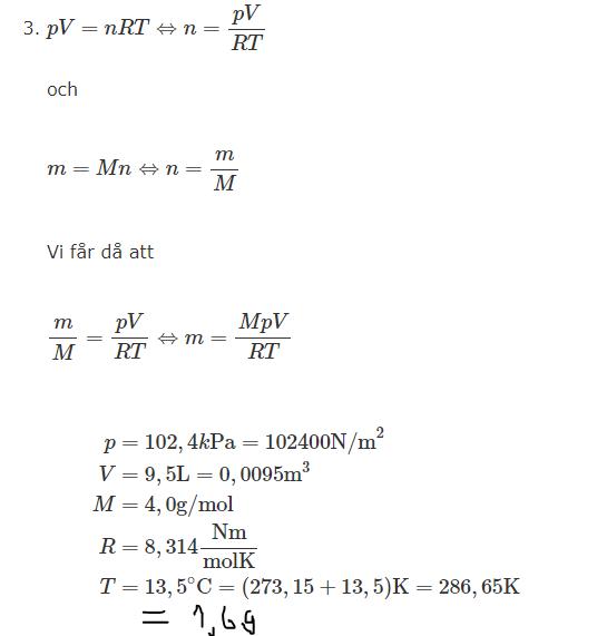
lösningsförslag:
mina frågor:
1. varför utgår man från 0,0095m3 och inte 9,5 dm3
För att man alltid skall sätta in volymen i enheten m3 i idealgaslagen.
2. eftersom det förmodligen är heliumgas, bör inte det vara H2 då? och pga det blir molmassan 8g/mol
Helium är en ädelgas med enatomiga molekyler. (Du tänker nog på att väte, H, är en tvåatomig gas.)
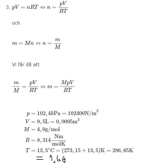
Smaragdalena skrev:naturnatur1 skrev:
lösningsförslag:
mina frågor:
1. varför utgår man från 0,0095m3 och inte 9,5 dm3
För att man alltid skall sätta in volymen i enheten m3 i idealgaslagen.
2. eftersom det förmodligen är heliumgas, bör inte det vara H2 då? och pga det blir molmassan 8g/mol
Helium är en ädelgas med enatomiga molekyler. (Du tänker nog på att väte, H, är en tvåatomig gas.)
tack snälla för klargörandet
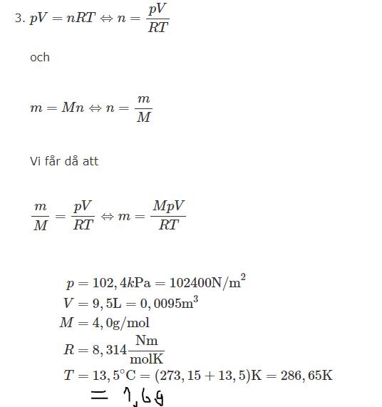
Smaragdalena skrev:naturnatur1 skrev:
lösningsförslag:
mina frågor:
1. varför utgår man från 0,0095m3 och inte 9,5 dm3
För att man alltid skall sätta in volymen i enheten m3 i idealgaslagen.
2. eftersom det förmodligen är heliumgas, bör inte det vara H2 då? och pga det blir molmassan 8g/mol
Helium är en ädelgas med enatomiga molekyler. (Du tänker nog på att väte, H, är en tvåatomig gas.)
Oj, haha, jag tänkte oxå på H2....
Ber om ursäkt för mitt slarv!
Det som är bra med att du har gjort det misstaget, är att det är en hyfsad chans att du aldrig mer gör just det felet!





