3
svar
141
visningar
masscentrum

Hej hej!
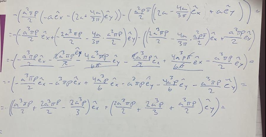
Listat ut r1,r2,r3 samt totalmassan som är 16 a2p-a2p.
r1= 0 : kvadraten
r2= -a ex, - 2a+ 4a/3 ey :nedre halvcirkeln
r3= 2a-4a/3 ex, a ey : högra halvcirkeln

kom så långt sen fastna jag...
Vi har varit tre som försökt få ut masscentrum men lyckas inte:( någon snäll som vill hjälpa? <3mvh
Hej och välkommen hit.
Man kan tänka sig en hel kvadrat och sedan lägga till två halvcirklar med negativ densitet.
Masscentrum ligger på symmetrilinjen, så man kan se att dess x-koordinat är lika med -y.
Så blir uppgiften halv så stor :)
Sedan dela med tre personer...
