2
svar
182
visningar
Masscentrum
Har lagt ner ganska mycket tid men ändå förstår jag inte hur man bestämmer masscentrum.
Finns det andra sätt som gäller för alla? Känns lite som att man har löst det på olika sätt.
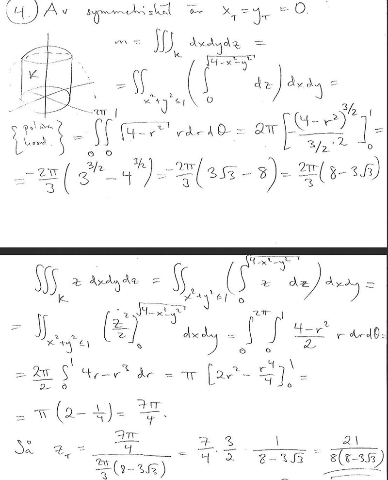
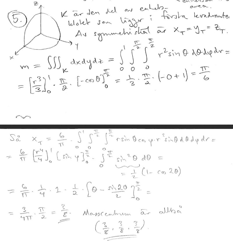
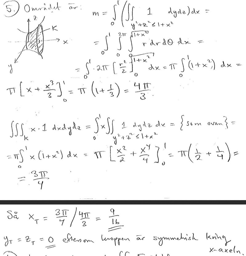
Bifogar bilder:






1. Rita upp kroppen.
2. Titta om det finns några symmetrier som förenklar uppgiften.
Därefter beror fortsättningen på hur kroppen (och densiteten) ser ut.
Principen är samma i alla tre lösningsarna:
- Beräkna massan genom att integrera desnsiteten (i alla uppgifterna är den 1) över området.
- Se om det finns symmetrier som gör att du inte behöver beräkna alla koordinaterna (alla kanske måste vara samma, eller några är trivialt 0)
- Beräkna integralen som getts i alla uppgifter (integralen av koordinat*densitet delat med massa). Ofta är området utformat så att omvandling till cylindriska eller sfäriska koordinater gör det lättare (om området t.ex. är cylindriskt eller sfäriskt)