Masscentrum för en balk

Det är i) som jag redan är fast på.

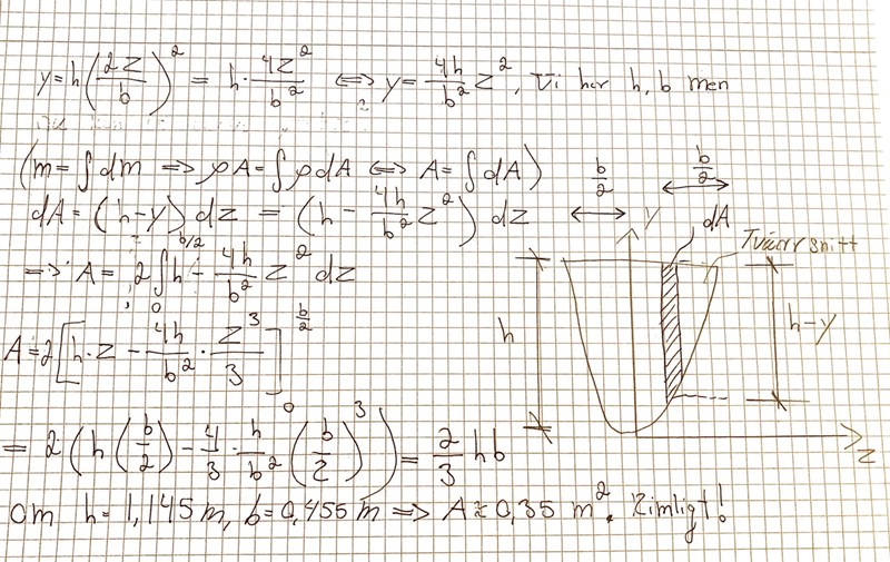
Detta är mina längder och bredder.

För att lösa i) har jag tänkt på detta sätt. Problemet är först att f(z) är ju i z-termer men jag vill integrera avseende y så vet inte hur jag ska lösa det. Sedan 1/A är jag också osäker på, antar det också blir en integral?
Skulle verkligen uppskatta lite vägledning tack!
Ralfs skrev:Problemet är först att f(z) är ju i z-termer men jag vill integrera avseende y så vet inte hur jag ska lösa det.
Finns många guider på YouTube eller Google. Sök bara på "centroid shape function" eller liknande.
Det du gör är att invertera funktionen så som:
Areaelementet i ditt fall ska vara:
Detta därför att det består av höjden och bredden .
Sedan 1/A är jag också osäker på, antar det också blir en integral?
Eller bara arean under kurvan

Hmm okej tack! Jag inverterade inte och gjorde på detta vis men mycket möjligt fel.
Bortsett från att du borde ha parentes runt integranden så ser det bra ut. Men för att beräkna tyngdpunkten som du är intresserad av behöver du invertera.