Masscentrum för en kvarts cirkel
Tja! Jag har en uppgift där jag har en kvarts cirkel som jag ska bestämma masscentrum för. alltså med intervallen och samt med densiteten .
Jag förstår nu hur man beräknar masscentrum men blir förvirrad istället av hur jag ska använda densiteten eftersom den beror av både x och y. Hur ska jag tänka när jag beräknar Mx=0 och My=0? Blir densiteten =x eller =y beroende på vilket M jag beräknar eller hur ska jag implementera densiteten i formeln?
Du har fått ett enklare fall där densiteten beror endast på x.
Hur menar du? ska jag alltså bara sätta in x som densiteten när jag tar fram Mx och My? vad gör jag när jag tar fram massan då?
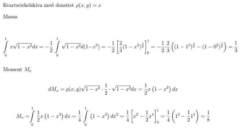
Densiteten är
x-koordinaten från 0 till 1.
Varje remsa dx har höjden och väger då
Massan är då
okej men då har jag gjort det rätt! men vid beräkning av Mx, ska jag ta att = x eller =y= ?
Och samma fråga för My? Eller är ρ alltid för båda beräkningarna?
Det ska vara x i båda beräkningarna.
bara x eller ?
Det är svårt att veta vad du menar, vilka formler. Kan du lägga upp en lösning eller början på en lösning så att man kan se hur du tänker?
för , densiteten delta(x), vad ska jag göra av den?
samma fråga för
Det är alltså formlerna jag utgår från. Resten har jag förstått, det är bara detaljen med densiteten delta(x) som är förvirrande. Ska alltså delta(x) vara eller
Jag har hittills gjort så här
Ja, i båda sätter du x istället för - båda formlerna har dx och då integrerar man på x.
okej men då verkar jag vara rätt ute med Mx, det enda som skiljer sig i min lösning är att jag inte har 1/2 för Mx, utan för My, varför har du multiplicerat in 1/2?
Jag är lite osäker om jag har gjort rätt på Mx. Försökte att följa resonemanget i boken.
Okej, men då borde det jag gjort ändå stämma då jag har mina formler jag följer, undrar mest ifall det ska halveras pga 1/4 cirkelskiva men har andra lösningar där man inte gör det så jag skippar den. Tack för all hjälp! Uppskattas.