15 svar
493 visningar
Anonym_15 behöver inte mer hjälp
Anonym_15 989
Postad: 27 mar 2025 17:15 Redigerad: 27 mar 2025 17:18

Massdefekt och kinetisk energi, samma sak?

En deuteriumkärna (H-2) med kinetiska energin 1,2 * 10-14J kolliderar med en litiumkärna Li- 6 som är i vila. Då uppstår det två alfapartiklar, var och en med energin 1,80 pJ.

a) Beräkna den frigjorda energin. 

 

Här har jag en fråga. När det står att deuteriumkärnan har en viss kinetisk energi och att de två alfapartiklarna har en annan kinetisk energi efter reaktionen, är det då dessa som utgör självaste massdefekten? Dvs. skillnaden i massa ges av: Ek före - Ek efter. 

Eller ska man göra så här:

Massskilnad: kärnmassa före + Ek hos deuterium - kärnmassa efter  + Ek hos alfapartiklar.  

Facit menar att skillnaden i rörelsenergi = frigjorda energin. Men i många frågor så görs det motsatta. En kärna med X Mev bildar ett annat grundämne. Då tar man hänsyn till denna energi i sina beräkningar. Alltså, vad ska man räkna med när man gör sådana massberäkningar?

Om det är oklart kan jag gärna fördtydliga. 

Magnus O 316 – Livehjälpare
Postad: 27 mar 2025 21:44

Det beror på vilken slags reaktion du räknar på: Fission eller fusion?

Hur menar du här?

Massskilnad: kärnmassa före + Ek hos deuterium - kärnmassa efter + Ek hos alfapartiklar.

Energin före = energin efter

Man kan inte skapa energi.

E=mc2

Anonym_15 989
Postad: 27 mar 2025 21:50

I fallet ovan har ju deteriumkärnan en viss energi innan. Därefter kolliderar den och det bildas två alfapartiklar som också har en viss kinetisk energi. Min fråga är vad jag ska göra med denna information. Är det denna som ska sättas in i formeln: E=mc^2? 

Magnus O 316 – Livehjälpare
Postad: 28 mar 2025 07:17

Skillnaden i energi (inklusive energin hos nassan) före och efter blir den frigjorda energin, vilket måste bli rörelseenergi, nya partiklar eller strålning. Energi kan inte existera självständigt i verkligheten. Det är bara ett begrepp man använder för att räkna.

Anonym_15 989
Postad: 28 mar 2025 11:16

Den frigjorda energin kan alltså bildas genom att subtrahera rörelseenergin före från rörelseenergin efteråt eller genom att ta reda på massdefekten? Är det samma sak? Eller ska man inkludera kärnmassorna också? 

E=mc^2 där m= kärnmassa före + Ek hos deuterium - kärnmassa efter  + Ek hos alfapartiklar.  

Pieter Kuiper 9458 – Avstängd
Postad: 28 mar 2025 11:28 Redigerad: 28 mar 2025 11:33
Anonym_15 skrev:

Den frigjorda energin kan alltså bildas genom att subtrahera rörelseenergin före från rörelseenergin efteråt eller genom att ta reda på massdefekten? Är det samma sak? Eller ska man inkludera kärnmassorna också? 

E=mc^2 där m= kärnmassa före + Ek hos deuterium - kärnmassa efter  + Ek hos alfapartiklar.  

Med parenteser låter det bättre: E=mc^2 där m= kärnmassa före + Ek hos deuterium - (kärnmassa efter  + Ek hos alfapartiklar).

Men det är fortfarande svårbedömt när du inte ger värden. Uppgiften var att räkna ut dessa.

Anonym_15 989
Postad: 28 mar 2025 14:59

Uppgift:

En deuteriumkärna med kinetiska energin 1,2 * 10^-14 J kolliderar med en litiumkärna (Li - 6) som är i vila. Då uppstår det 2 alfapartiklar, var och en med energin 1,80 pJ. 

 

a) Skriv reaktionsformeln. (Det gjorde jag). 

b) Beräkna den i reaktionen frigjorda energin med hjälp av nuklidtabell. 

c) Beräkna den i reaktionen frigjorda energin utan hjälp av nuklidtabell.  

Magnus O 316 – Livehjälpare
Postad: 28 mar 2025 15:02

Om du delger oss dina beräkningar så blir det lättare att hjälpa dig.

Anonym_15 989
Postad: 28 mar 2025 15:18 Redigerad: 28 mar 2025 15:19

a) 2- H+ ​6-Li + (1,2*10^-14) J →4​-He+4​-He (2'*1,80*10^-12)J

b) E = delta m *c^2. 

Sedan gör vi om den kinetiska energin till u där 1 u motsvarar 931,5 MeV. 

ED​=1.2×10−14 J

Då gäller att:

samt:

 

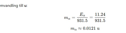
Masskillnad: (mreaktanter​−mprodukter​). Massa före: mreaktanter​=2.0141+6.0151 + 8,04 * 10^-5 (den kinetiska energin) = 8.0293u

mprodukter​=2×4.0026 - 2*0,0121 = 7.9810u

Δm=mreaktanter​−mprodukter​ =8.0293−7.9810=0.0483u. 

E=Δm×931.5MeV. E=0.0483×931.5=> E≈45.0MeV

Pieter Kuiper 9458 – Avstängd
Postad: 28 mar 2025 17:44 Redigerad: 28 mar 2025 17:45
Anonym_15 skrev:

 

Din uträkning kanske stämmer men det är hemskt förvirrande att skriva så eftersom mα ≈ 4 u.

Pieter Kuiper 9458 – Avstängd
Postad: 28 mar 2025 17:49 Redigerad: 28 mar 2025 17:58
Anonym_15 skrev:

Uppgift:

En deuteriumkärna med kinetiska energin 1,2 * 10^-14 J kolliderar med en litiumkärna (Li - 6) som är i vila. Då uppstår det 2 alfapartiklar, var och en med energin 1,80 pJ. 

[...]

b) Beräkna den i reaktionen frigjorda energin med hjälp av nuklidtabell. 

c) Beräkna den i reaktionen frigjorda energin utan hjälp av nuklidtabell.  

Det är en konstig uppgift. Så en deuteron kommer in med 75 keV. Och efteråt har alfapartiklarna kinetisk energi 11,3 MeV var, tillsammans 22,47 MeV. Reaktionen ger 22,40 MeV. 

Vad skulle man då göra på b) egentligen? Räkna ut gammastrålning kanske?

Anonym_15 989
Postad: 28 mar 2025 22:28

Facit menar att i a) - delen ska man räkna ut massdefekten genom att räkna på kärnmassan före och efter. I b) uppgiften ska det tydligen ge samma svar som om man tar Ek före - Ek efter. Men det jag trodde var att man skulle ta hänsyn till Ekföre och Ekefter i SJÄLVA massberäkningen med kärnor. 

Anonym_15 989
Postad: 28 mar 2025 22:40

Skulle du kunna skriva hur du gör om du ska lösa uppgiften? Dvs. beräkna den frigjorda energin med de givna värdena i uppgiften?

Pieter Kuiper 9458 – Avstängd
Postad: 28 mar 2025 22:41 Redigerad: 28 mar 2025 22:49

Jag ser i literaturen 6Li + d = α + α + 22.38 MeV https://www.sciencedirect.com/science/article/abs/pii/S0168583X24002301 

Så det kan man räkna ut från nuklidtabellen som (6,0151 + 2,0141 - 2 * 4,0026) u =  0,0420 u = 22,3 MeV.
(man ska då addera 75 keV till det som extra inkommande energi).

Anonym_15 989
Postad: 29 mar 2025 00:37
Pieter Kuiper skrev:

Jag ser i literaturen 6Li + d = α + α + 22.38 MeV https://www.sciencedirect.com/science/article/abs/pii/S0168583X24002301 

Så det kan man räkna ut från nuklidtabellen som (6,0151 + 2,0141 - 2 * 4,0026) u =  0,0420 u = 22,3 MeV.
(man ska då addera 75 keV till det som extra inkommande energi).

Det ser ut som att du enbart tagit hänsyn till kärnmassorna?

Pieter Kuiper 9458 – Avstängd
Postad: 29 mar 2025 09:08 Redigerad: 29 mar 2025 16:25
Anonym_15 skrev:
Pieter Kuiper skrev:

Jag ser i literaturen 6Li + d = α + α + 22.38 MeV https://www.sciencedirect.com/science/article/abs/pii/S0168583X24002301 

Så det kan man räkna ut från nuklidtabellen som (6,0151 + 2,0141 - 2 * 4,0026) u =  0,0240 u = 22,3 MeV.
(man ska då addera 75 keV till det som extra inkommande energi).

Det ser ut som att du enbart tagit hänsyn till kärnmassorna?

Jag visade hur man på ett tydligt och enkelt sätt får ett korrekt svar (på en otydligt formulerad uppgift).

I princip skulle det vara möjligt att man vid en kärnreaktion ska räkna med flera MeV i gammaenergi, men det skulle ha varit lite oväntat för dessa små kärnor. Och så mycket kärnfysik ingår inte i gymnasiet.

Jag ser nu att jag hade kastat om siffrorna: 0,0240 u skulle det ha varit. Jag tror att hela poängen med dessa sifferexerciser är att skolan vill att eleven ska lära sig att hålla reda på betydelselösa långa rader av decimaler och där misslyckade jag i det här fallet... ändå är det en färdighet som är mer relevant i bokföring och på banken än i fysikforskning.

Svara
Close