3
svar
74
visningar
Dkcre behöver inte mer hjälp
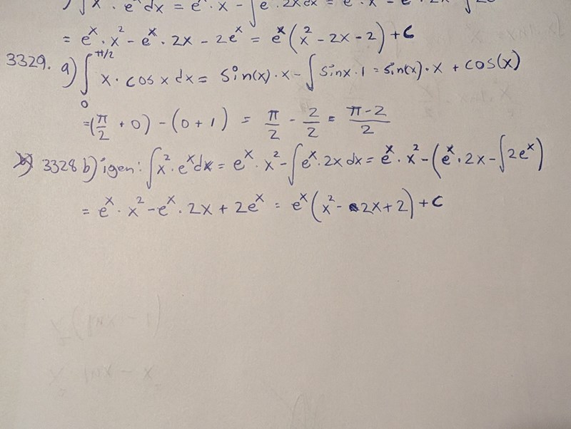
Matematik 5000. Kurs 5. 3328 b)
Hej.
Jag kom fram till följande. Det ser rätt ut förutom att i parantesen ska det vara +2 och inte -2 i svaret. Jag har gjort om det några gånger men kan inte se att så ska vara fallet.

.

Måste vara försiktig med tecknena. Du tappar ett minustecken framför integralen i led 3. Minustecknet från det tidigare ledet slår på både och integralen, som redan har ett minustecken så det blir +.
Vad föregående talare sade, snäppet snabbare. :-)

Menar du såhär?
Edit: (Ja, så menade ni :p)
Jag är inte med på varför man ska göra så faktiskt.
Eller.. nej, jag tror det känns lite okej att det ska vara så ändå.
