2
svar
43
visningar
Dkcre behöver inte mer hjälp
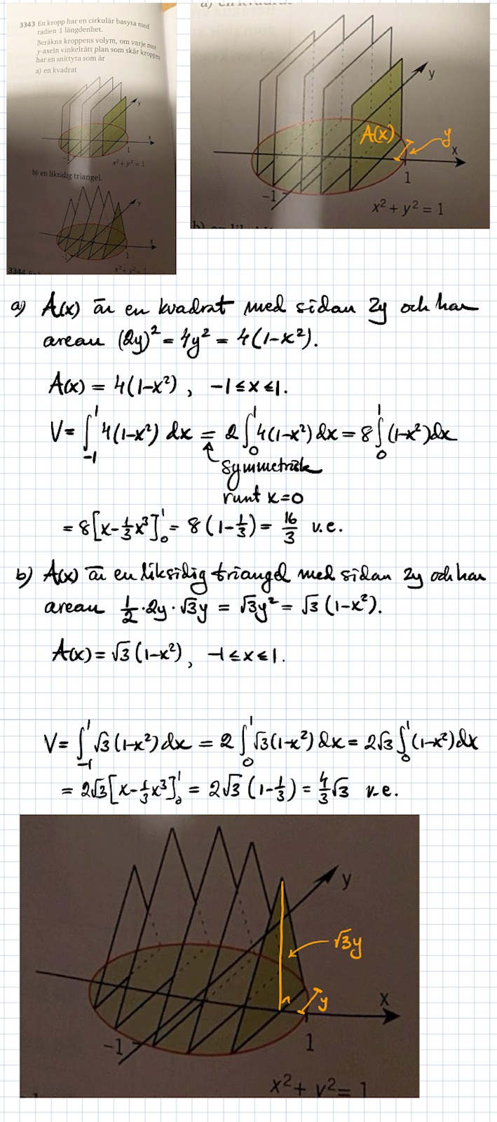
Matematik 5000. Kurs 5. Uppgift 3343
Hej,
Undrar hur jag ska tackla fråga 3343 a)

Okej! Tack
