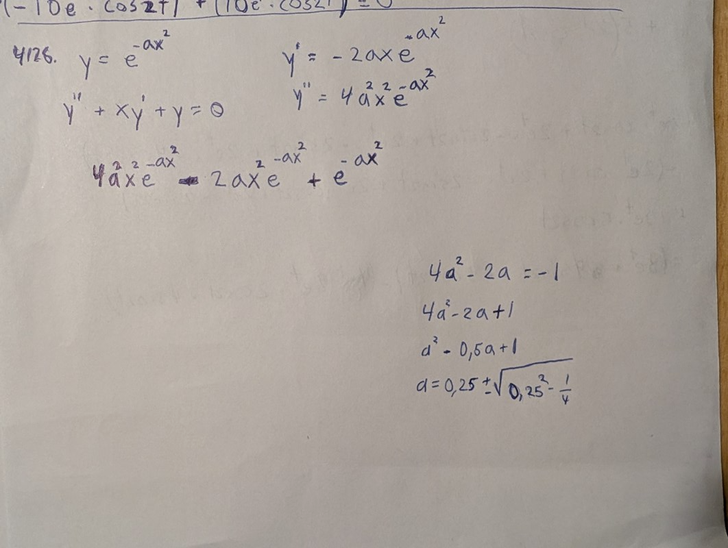
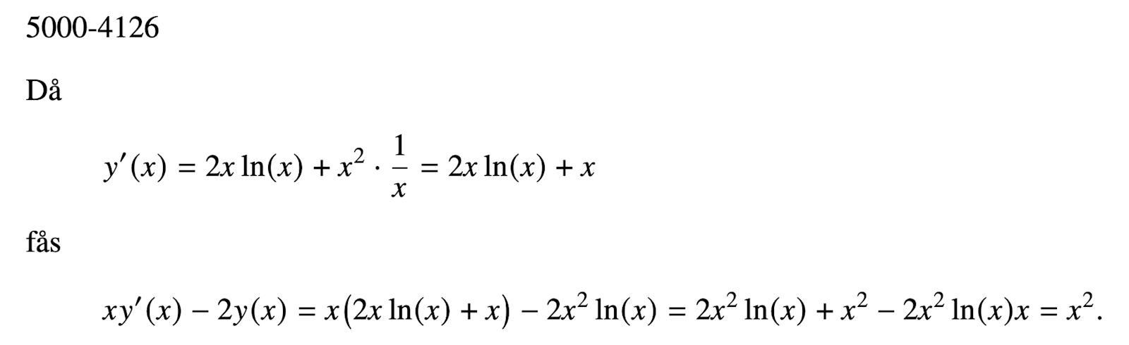
Matematik 5000. Kurs 5. Uppgift 4128.
Hej
Man vet ju att andra derivatan - derivatan måste bli = -1, eller ja, minus funktionen, för att det ska bli 0. Och x blir egentligen irrelevant i och med att det tar ut sig självt. Tänkte då pq formeln, men jag får då ut att det inte finns någon lösning. Ser att jag har glömt att dela med 4 där ovanför pq formeln, men hur som, det är resultatet som räknas. Vad förstår jag inte den här gången.

.

Du måste använda produktregeln på y' för att få korrekt y''.
Åh inte igen!!!
Okej
Heja heja!
Nej det här vet jag inte vad jag gör med.
Nej jag gjorde fel med produktregeln igen!!

Jag kom fram till samma igen.
Kan inte bättre och vet inte hur man löser det tyvärr.

Såhär. Jag räknade inte utan resonerade.

Du bör få

Har jag inte fått det :p
Nej det skiljer sig lite. Ah jag lyckas inte med det i alla fall, blir för många siffror eller någonting.
Gjorde om det igen, kan inte få ett annat resultat.
Dkcre skrev:Har jag inte fått det :p
Nej det skiljer sig lite. Ah jag lyckas inte med det i alla fall, blir för många siffror eller någonting.
Gjorde om det igen, kan inte få ett annat resultat.
Det är en del att bokföra...

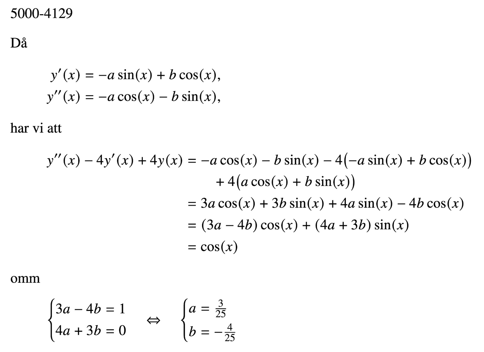
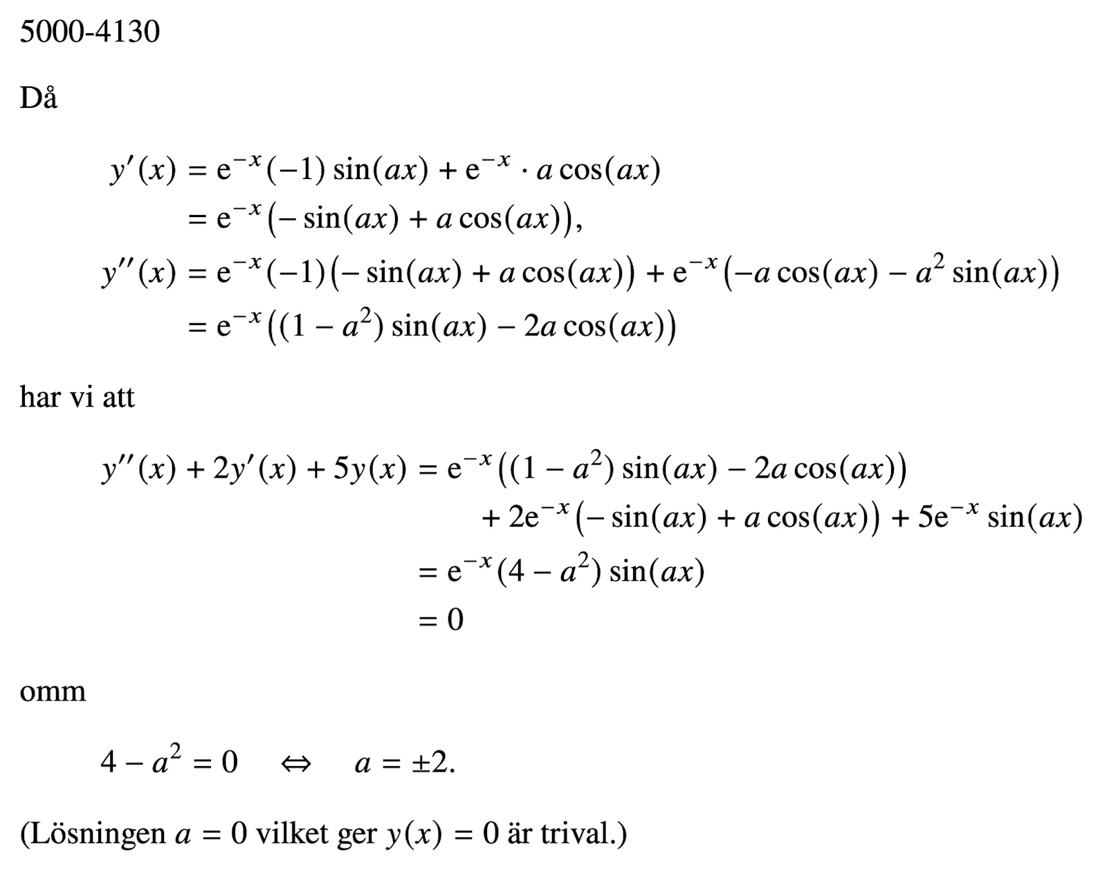
här är de andra (hoppas jag skrivit rätt kl. 01:24...)




Tror ändå vi gör lika på 4128 bara att du förenklar det mycket mer så det blir tydligare att se, skulle ha försökt göra det. I det här fallet gick det ändå men hade kunnat vara knepigare.
Fast jag fattar inte hur 1st 2a försvinner i sista steget...