5
svar
276
visningar
Matte varje dag :) behöver inte mer hjälp
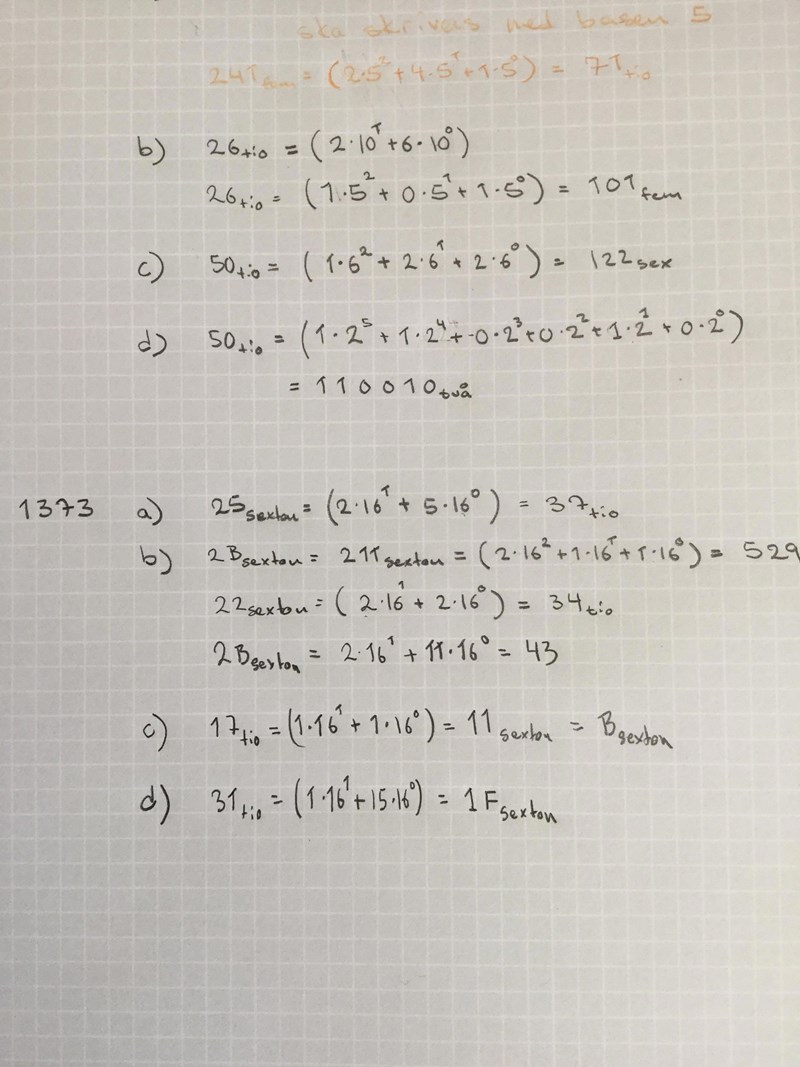
Matematik 5000 Talsystem med olika baser uppg 1373b) c) d)

Hej
har fastnat och försöker förstå all hjälp är välkommet
När det står ett B ska du alltså tänka 11 i basen 10 och multiplicera med lämplig faktor (16 höjt till något)
b) Gör exakt som du gjorde på a) men kom ihåg att B=11, dvs
c) Vi vill uttrycka som talet .
16 går 1 gång i 17. Alltså kan vi låta a=1 och kvar blir resten 1, dvs b=1
I uppgift d vill vi uttrycka 31 som talet i det decimala talsystemet
Kan du själva klura ut siffrorna a och b denna gång?

Mycket stort tack förstod uppgiften nu
Nej det verkar du inte ha gjort, du gör ett steg för mycket
Detta kan inte utvecklas vidare När du skriver att så är det fel!
ok tack