2
svar
91
visningar
#älskamat behöver inte mer hjälp
Matematik - derivator
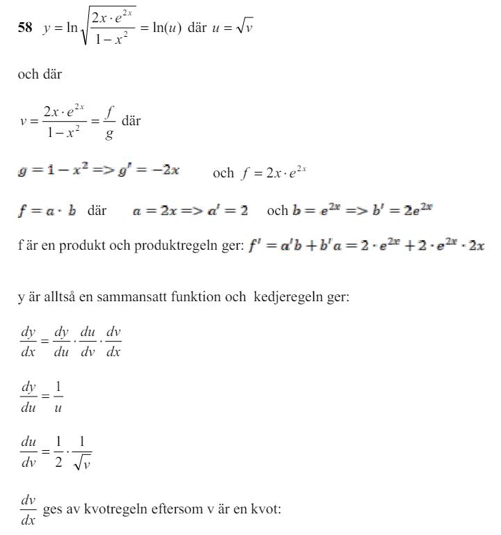
Hej!
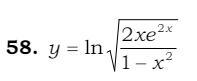
Jag har lösningen till en uppgift som jag tycker är lite klurig:
Och lösningen är:


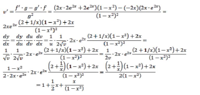
Jag förstår allt i början men när man kommer till v' förstår jag inte, hur har de förenklat den här delen?
till att bli detta 
Tack på förhand!
Du bryter ut ur uttrycket.
Tack så mycket!! Jag fattar nu