4 svar
92 visningar

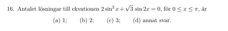
Matematikprov 2012 uppgift 16

De första två nollställena är enkla att hitta, x1= 0 x2π. Sedan kan man anta att det finns ett till nollställe genom att rita upp enhetscirkeln och se. Det är dock ett osäkert sätt att ta reda på det. Finns det något algebraiskt sätt att ta reda på det?

Skaft 2363 – F.d. Moderator
Postad: 11 mar 2020 10:22

Använd dubbla-vinkeln-formeln för sinus så kan du få de två termerna lite mer lika varandra. Sen finns ett knep man ibland kan använda i ekvationer när högerledet är noll...

Dualitetsförhållandet 1287 – Fd. Medlem
Postad: 11 mar 2020 10:48 Redigerad: 11 mar 2020 10:48

Tack så mycket. Kan det här resonemanget förfinas?

 2sin2x + 3sin2x= 0 2sin2x + 3×2sinxcosx = 0sinx =xx2+ 3x×cosx=0x(x+3cosx)= 0x1= 0, x2= 3cosxSätter in x1, sin x =0 x1= 0 x2=πSätter in x2  , sin x = 3cosx  resonerar att det bara finns en lösning i intervallet 0xπ med det villkoret.Alltså finns bara 3 lösningar.

Skaft 2363 – F.d. Moderator
Postad: 11 mar 2020 11:15

Ser ut som en ansats med nollproduktmetoden, vilket är knepet jag tänkte på. Men att döpa om sin(x) till x är ingen bra idé, då blir ju x:et dubbeltydigt! Du har ju kvar cos(x) i ekvationen, så är det då cos(x) eller cos(sin(x))? Välj en ny bokstav istället, om du vill göra ett byte (det är egentligen inte nödvändigt, men fullt tillåtet om man tycker det hjälper).

Sen ser det ut som ett teckenfel där du hittar x2x_2. Parentesen blir väl inte noll om båda termer är 3cos(x)\sqrt{3}\cos(x)? Då blir parentesen (3cos(x)+3cos(x))=23cos(x)(\sqrt{3}\cos(x) + \sqrt{3}\cos(x)) = 2\sqrt{3}\cos(x).

Ja, du har helt rätt Skaft. Det är fel att använda x som benämning för sin x. och x2=-3cosx

Svara
Close