Matematisk med statistik
Hej om ni tittar på lösningen C) så står det att vilken vikt kommer 25% av kartongerna att överstiga jag förstår inte de sista värde som står 0,75 och och 0,67?
Hur har vi fått dessa värde på K 130 och 126,8 som står med röd Text?väldig snällt om ni kan förklara det 🙏🏽🙏🏽🙏🏽☀️
tack så mycket 

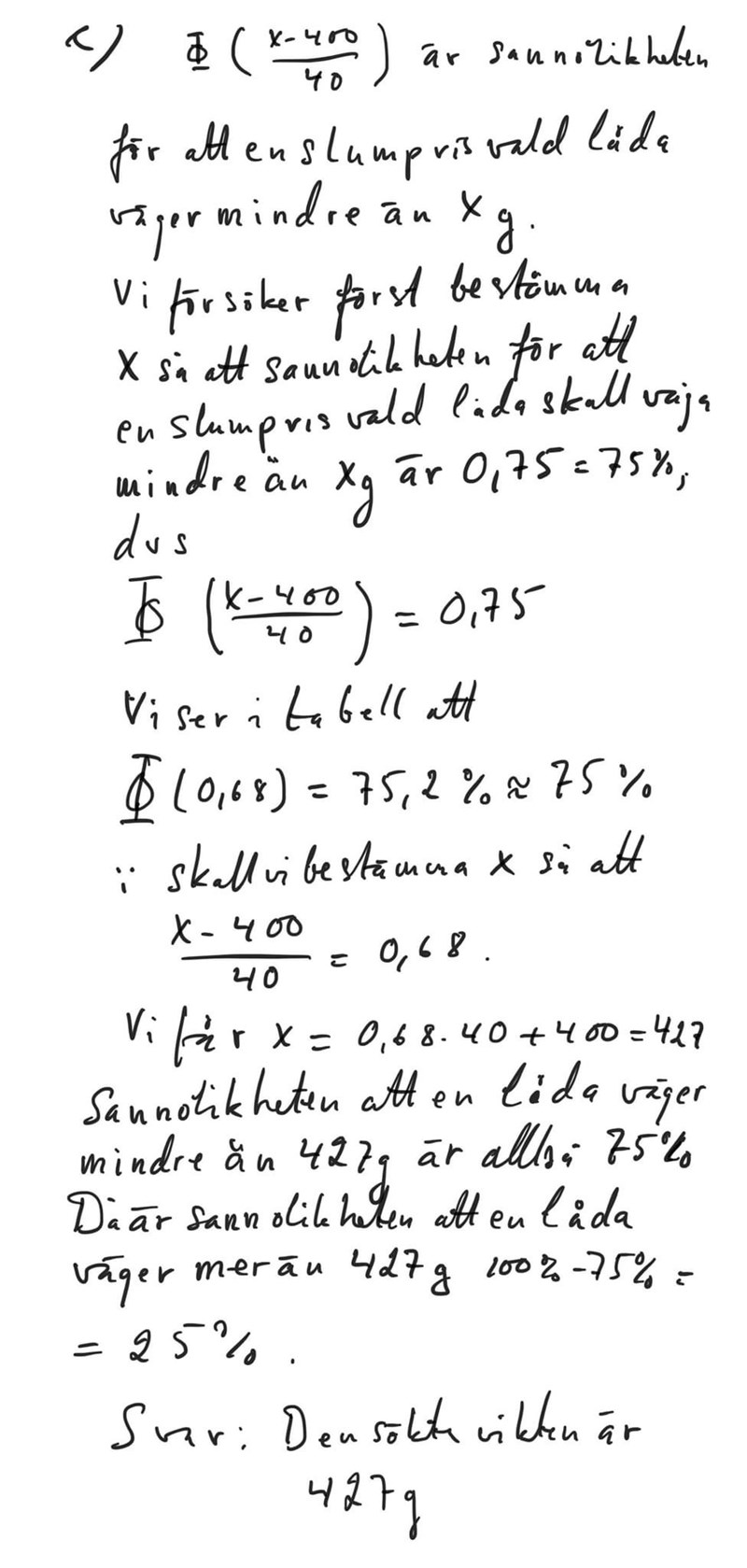
Vi undrar vilket k som uppfyller att . Vi kan skriva om detta till där . Vilket x uppfyller detta? :)
Vi har denna tabell och gå efter ..om du tittar på Tabell så ser du underifrån längst ner 75,2 sannolikheter .Varför tar man just denna ? Och varför just 130 som står där?
är det ett permanent värde ?
tack
Vi tar eftersom det är det x som kommer närmast att uppfylla . Däremot är det inte den mest lättlästa lösning jag sett. Jag skulle vilja ställa upp det såhär:
Svar: 25% av kartongerna överstiger vikten .
Tack för din svar.nu känns det som att jag är väldig nära och förstå hela denna uppgift snart.bara undrar en sak vad kommer värde 130 ifrån hur har kommit fram till det🙏🏽🙏🏽
Snälla snälla kan du bara förklara det🙏🏽🙏🏽
Ja, alltså det är en del av anledningen till att jag inte gillar denna lösning. Det känns inte riktigt relevant, och det är en märklig uträkning i allmänhet.
Men, för att besvara själva frågan: I lösningen verkar de ha flyttat väntevärdet ned till hundra istället, och då får vi att ett skiftat krav på ungefär 130 gram innebär att 75% av kartongerna kommer överstiga värdet. Men varför de gör så, det vet jag inte. Det blir inte lättare att lösa uppgiften för det.
Jag har fått denna som extra hjälp men fortfarande inte fattar varför han tog 130?

Snälla charlie2016, glöm 130. Det är ingen viktig del i lösningen, det är knappt en del i lösningen. detta lösningsförslag är utmärkt, och det räcker gott och väl.
Aha okej ,Förlåt.
tusen tack för denna hjälp .vi stänger denna tråd 🙏🏽🙏🏽Nöjd med denna hjälp 🙏🏽
Okej, vad bra! :)