Matematisk modellering: Egenvärden?
Hej!
Har en fråga som lyder:

Lösningen är inget problem, denna lyder:


Det enda jag inte förstår är hur de kommit fram till ? hur är ? Jag förstår allt upp tills de bestämmer , men just den beräkningen känner jag mig inte helt klok på.
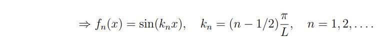
Den allmänna lösningen till diffekvationen -f’’2 = k2f är f(x) = acoskx + bsinkx.
Använd nu randvillkoren.
f(0) = 0 => a = 0.
f’(L) = bkcoskL = 0 => kL = pi/2, 3pi/2, 4pi/2,… = pi/2 + (n-1)pi, n = 1, 2, 3, … .
Så vi får möjliga k generellt enligt
kn = (pi/2 + (n-1)pi)/L = (n-1/2)pi/L.
Obs negativa värden på k ger inga oberoende lösningar så de behöver vi inte tänka på.
PATENTERAMERA skrev:Den allmänna lösningen till diffekvationen -f’’2 = k2f är f(x) = acoskx + bsinkx.
Använd nu randvillkoren.
f(0) = 0 => a = 0.
f’(L) = bkcoskL = 0 => kL = pi/2, 3pi/2, 4pi/2,… = pi/2 + (n-1)pi, n = 1, 2, 3, … .
Så vi får möjliga k generellt enligt
kn = (pi/2 + (n-1)pi)/L = (n-1/2)pi/L.
Obs negativa värden på k ger inga oberoende lösningar så de behöver vi inte tänka på.
Hej!
Jo precis, så långt kom jag också- men hur kommer man fram till k:s värde i detta fallet? Man vill att ?
Vilka lösningar har ekvationen cos(v) = 0? Jo, titta på enhetscirkeln, v = pi/2 + mpi, där m är godtyckligt heltal. Om vi bara är intresserade av positiva lösningar så kan vi skriva v = pi/2 + (n-1)pi, för n = 1, 2, 3… .
Om vi villa lösa cos(kL) = 0 så måste vi ha pss att kL = pi/2 + (n-1)pi = (n-1/2)pi.
Klart som korvspad?