Matematisk Statistik, Centrala gränsvärdessatsen, 6.31 (K.Vännman)
Hej! Har lite problem med följande uppgift:

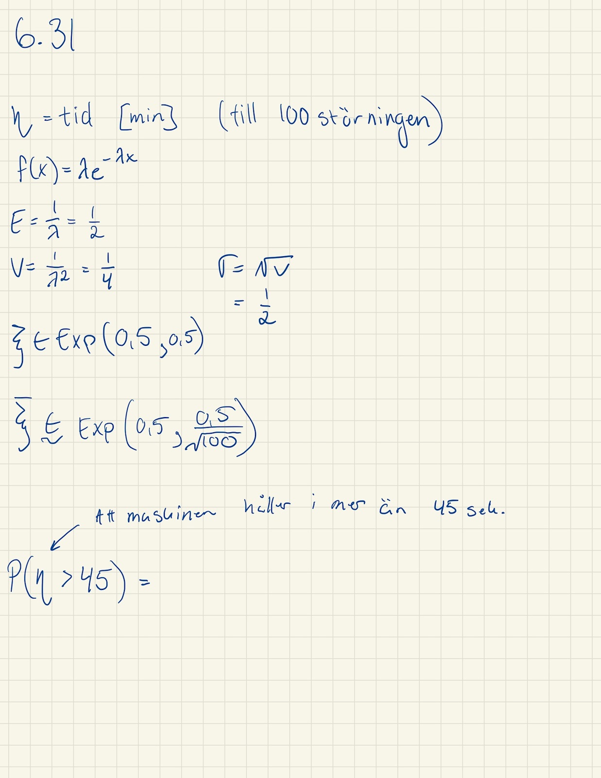
Där jag gjort följande:

Känner mig lite vilsen när det är ett samband som inte är normalfördelat.
Centrala gränsvärdessatsen säger typ att har du fler än 30 mätningar blir summan/medelvärdet normalfördelat, så du kan bara byta från exp till N i din näst sista rad och fortsätta som vanligt.
Micimacko skrev:Centrala gränsvärdessatsen säger typ att har du fler än 30 mätningar blir summan/medelvärdet normalfördelat, så du kan bara byta från exp till N i din näst sista rad och fortsätta som vanligt.
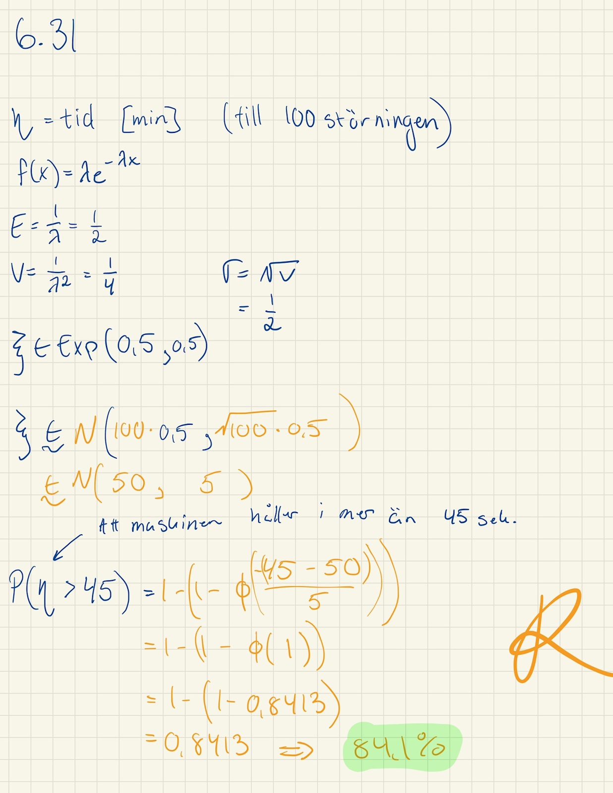
Aha! Helt missat att man kan använda den för alla typer av fördelningar! Med denna nya info gjorde jag följande: (där orange är nytt)

Det som är grönt är mitt "svar" men det stämmer inte överens med facit (facit säger 84,1%)
Du har redan tagit roten ur 1/4, och sen lagt den under en rot igen i summan, så standardavvikelsen blir fel. (och sätt inget streck ovanför din summa, överstruket betyder medelvärde)
Micimacko skrev:Du har redan tagit roten ur 1/4, och sen lagt den under en rot igen i summan, så standardavvikelsen blir fel. (och sätt inget streck ovanför din summa, överstruket betyder medelvärde)
Ahh! Tack för hjälpen!
(lämnar denna för framtida läsare)
