7
svar
192
visningar
ChocolateTerrain behöver inte mer hjälp
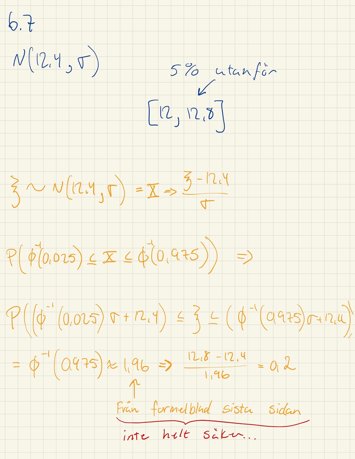
Matematisk Statistik, Normalfördelning, 6.7 (K.Vännman)
Hej! Har problem med följande fråga:

Där jag har gjort följande:


(se formelblad som kommentar, gick ej att göra som ett inlägg)
Där min fråga är om jag har avläst rätt i tabellen.
Du har kollat i fel tabell. Uppgiften handlar om en normalfördelning.
Micimacko skrev:Du har kollat i fel tabell. Uppgiften handlar om en normalfördelning.
Ah! Missade helt att denna tabellen fanns:

Vilket jag antar är den rätta?
Använd en helt vanlig normalfördelningstabell, brukar ligga först i de flesta formelsamlingar.
Micimacko skrev:Använd en helt vanlig normalfördelningstabell, brukar ligga först i de flesta formelsamlingar.
humm, har (förutom de jag redan visat) denna också:

är det denna du tänker på?
Micimacko skrev:Ja
Tack för hjälpen :)
