Matematisk Statistik, Väntevärdesriktighet och effektivitet, 7.3b (K.Vännman)
Hej! Jag har lite problem med följande fråga: (gäller b, men om det finns synpunkter på a så tas de emot!)

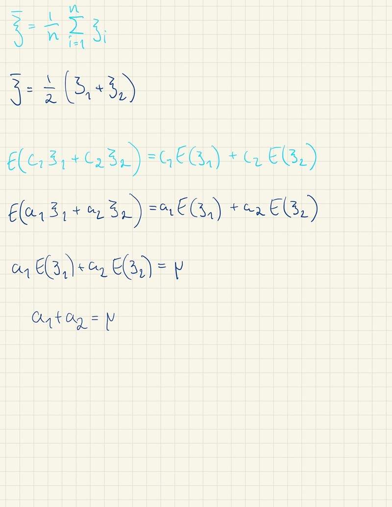
Där jag har tänkt enligt följande:


Känner att jag inte riktigt greppar effektivitet någon som kan visa mig rätt riktning?
Vad har du gjort på a-uppgiften? Om du väljer båda a till 1 så har du om vi tar ett mer konkret exempel typ mätt 2 personer, säg att de var 170 och 180 cm, och sen påstår du att du kan plussa ihop deras längd och få fram att en genomsnittlig människa är ca 350 cm lång?
Effektivitet tror jag inte brukar definieras ensamt i stat, utan bara som jämförande. En skattning är effektivare än en annan om den har lägre varians.
Micimacko skrev:Vad har du gjort på a-uppgiften? Om du väljer båda a till 1 så har du om vi tar ett mer konkret exempel typ mätt 2 personer, säg att de var 170 och 180 cm, och sen påstår du att du kan plussa ihop deras längd och få fram att en genomsnittlig människa är ca 350 cm lång?
Effektivitet tror jag inte brukar definieras ensamt i stat, utan bara som jämförande. En skattning är effektivare än en annan om den har lägre varians.
humm, okej... Så man ska välja då något a1 och a2 så att det blir någon form av medelvärde av ?
(angående b) mm, det är det jag har försökt teckna på min andra bild men det blir egentligen en jämförelse inom a och b själv? (lite svårt att trycka mig här...)
(lägger in lite bilder kring vad jag har försökt luta mig emot)



Försökte även räkna på det hela igen: (orange är nytt)

Du behöver nog hitta de här formlerna för att kunna använda det du har på den sidan. Jag påbörjade första uppg, kommer du vidare?

Micimacko skrev:Du behöver nog hitta de här formlerna för att kunna använda det du har på den sidan. Jag påbörjade första uppg, kommer du vidare?
Hittade några formler som är de som du syftar till: (SATS 5.2 och 5.3)


Och då gjort följande:


Men blir inte riktigt klok på det...
Din metod verkar vara lite baklänges. De frågar efter alla skattningar som uppfyller kraven, inte en undersökning av medelvärdet. Så börja med att räkna ut väntevärde och varians för din givna skattning mha formlerna, sen vet du att E(X)=my (för båda två), så byt ut, sen vill du att det du räknat ut ska vara lika med my, så ställ upp en ekvation och lös ut vad du har för krav på a och b. Kolla hur jag började och lös vidare.
humm, okej tror jag fått rätt på Väntevärdesriktighen nu:

Men fortfarande problem med effektiviteten:

Du har räknat ut variansen för skattningen, men du kan inte göra en ekvation av det, för den har ingen specifikt värde du vill få det till, bara så liten som möjligt. Du har kravet a1+a2=1 från förra uppgiften, sen hittar du de a som uppfyller det och ger minsta värdet på s^2(a1^2+a2^2). Om du inte ser det direkt så använd substitution från första ekv och sen derivera fram.
okej, men vilken är "första ekv"?
Från a-uppg. a1+a2=1
aha... blir inte klok på det hela, hittade ett lösningsförslag som jag kopierade:

där jag undrar varför man ansätter samt vad som händer i rad 3?
Du ansätter inget, du räknar ut mha formlerna. Samma formler som i a-uppg. När du fått loss V(X) byter du den till sigma^2. (inte s^2, det är något annat). På rad 3 använder du ekvationen från a-uppg och löser ut a2 och stoppar in.
ah! Har fått till det nu!

Men en fråga kvarstår har jag ansatt rätt i "3" eller är det egentligen som ska vara där istället för
Det ska vara första alternativet. Eller my*, som de döper det till i frågan. My utan stjärna är det verkliga värdet du vill ta reda på. Det slumpas inte, så det har variansen 0.
Micimacko skrev:Det ska vara första alternativet. Eller my*, som de döper det till i frågan. My utan stjärna är det verkliga värdet du vill ta reda på. Det slumpas inte, så det har variansen 0.
Okej! Tack för hjälpen och tålamodet, uppskattar det enormt!