Materiallära - samma fråga två uträkningar?
Hej,
Sitter och pluggar och fastnade på nåt konstigt. Jag vet inte om jag har fel eller eleven

Som du ser i uppgiften så står det att pelarna är av ek och när jag kollar i tabellen står det att ek är 5*10^-4 medans en annan elev tar 3*10^-4
Bild på tabell
Lärarens svar

Det konstiga är att han får rätt svar när han räknar fram B han använder svaret från A för att lösa B, men svaret på A blir ju fel.
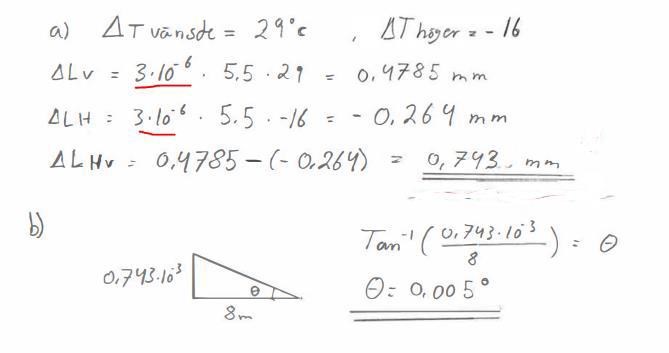
Egen lösning
ΔLv=29*5*10^-6*5.5=7.975*10^-4 m
ΔLH=-16*5*10^-6*5.5=-4.4*10^-4 m
ΔLHV=7.975*10^-4- (-4.4*10^-4)= 0.0012375
0.0012375*1000=1.238mm
B)
sen om jag omvandlar värdena jag fick
0.7975-(-0,44)=1.2375
tan^-4=0.7975*10^-3/8=0.009
Har jag fel eller har läraren rättat konstigt. Är anledningen han fick fel på A är för att han omvandlade ΔLv och ΔLH till mm fråm m?
Tack
Två saker, möjligen tre:
1. Om man har olika tabeller kan man få olika data på längdutvidgningskoefficienten. Det är dock inte så stor skillnad på 3x10-6 eller 5x10-6 i sammanhanget.
2. För uträkningen av vinkeln så är stålbalken 8 meter. Vi måste alltså anta att stålbalken i sig inte hettas upp eller kyls.
3. Stålbalken borde representeras av hypotenusan i triangelskissen i din fråga, förutsatt att min punkt 2 gäller. Vi borde alltså använda sinus istället för tangens.
Numeriskt får jag LV och LH på samma sätt som dig. Men vinkeln ungefär som din lärare.
Har du lyckats bringa någon klarhet i problemet?