0
svar
240
visningar
Matlab "busy"
Hej! Jag håller på att simulera lite i matlab och behöver hjälp då jag får problem.
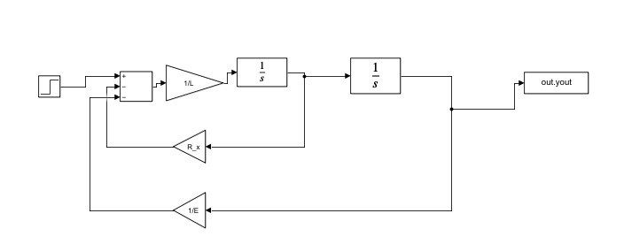
Här är min simulink overview:
Här är min matlab kod:
Problemet är när jag ändrar från L=150/100000 till L=150/1000000 så slutar det att funka. Den stannar på "busy". Jag har testat att minska simtimen till / 20, då den ursprungligen var på /500.
OBS: ignorerara A,B,C,D ty det är en annan simulink fil den tillhör.