Matris
Hej! Jag förstår inte hur man får fram f2 som jag har markerat. Formeln står men när jag räknar får jag fel. 

dr_lund skrev:Länk till Gram-Schmidt (GS)
Är du någorlunda bekant med GS?
jag har sett denna länk men jag tror att man räknar på ett annat sätt när det kommer till komplexa tal.
Kan du ladda upp en bild på hur du har räknat?
När du normerar , måste du komma ihåg att
, dvs multiplicera med konjugatet.
F ö GS som vanligt.
Inabsurdum skrev:Kan du ladda upp en bild på hur du har räknat?
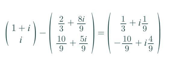
Jag gjorde så här:
- (e1,v2) = skalärprodukten av e1 och v2 som är

- Jag multiplicerade den ovanstående räkningen med e1 och fick

- Sedan subtraherade jag V2

OBS Fel i lösningen:

Ska vara .
dr_lund skrev:OBS Fel i lösningen:
Ska vara .
jag fick fel :(
Kom du ihåg att använda konjugatet i skalärprodukten? ska konjugeras
dr_lund skrev:Kom du ihåg att använda konjugatet i skalärprodukten? ska konjugeras
bara e1? eller båda e1 och v2?