Matris
om jag ska lösa matrisekvationen AXB = C + 2XB (A,B,C är kända) räcker det då med att jag tar inversen av A och B från VL och sedan dividerar HL med 2X så att det slutligen blir
Känns väldigt krångligt..
Du har inte ett uttryck som löser ekvationen om du fortfarande har X i högerledet. Gör som vanligt med ekvationer: samla X på ena sidan, bryt ut och dela så X blir ensamt.
Hej Supporter,
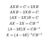
Att göra som du har valt att göra blir lite knepigt eftersom ty när det handlar om matriser så funkar det inte att dividera som du har gjort. Du behöver även tänka på att inversen måste vara på samma sida både i höger och vänsterled. Jag hade istället börjat såhär
.
Kan detta hjälpa dig något?
Laguna skrev:Du har inte ett uttryck som löser ekvationen om du fortfarande har X i högerledet. Gör som vanligt med ekvationer: samla X på ena sidan, bryt ut och dela så X blir ensamt.
Jag fick nästan rätt svar, jag fick fram det till
Facit är:
Det jag inte riktigt förstår nu är vad E (Y i mitt fall) är då de enda givna var A,B och C som var
Max123 skrev:Hej Supporter,
Att göra som du har valt att göra blir lite knepigt eftersom ty när det handlar om matriser så funkar det inte att dividera som du har gjort. Du behöver även tänka på att inversen måste vara på samma sida både i höger och vänsterled. Jag hade istället börjat såhär
.
Kan detta hjälpa dig något?
Insåg det nyligen! Men stötte på ytterligare ett problem..
E är tydligen enhetsmatrisen, men den brukar kallas I.
Fick du själv fram Y och vet inte var det kom ifrån? Det förstår jag inte.
Laguna skrev:E är tydligen enhetsmatrisen, men den brukar kallas I.
Fick du själv fram Y och vet inte var det kom ifrån? Det förstår jag inte.
Vad innebär det? Jag skrev Y eftersom det var en annan variabel trodde jag
E är en matris med ettor i diagonalen och nollor i övrigt. Det är den matris som motsvarar 1 för vanliga tal när man multiplicerar.
Laguna skrev:E är en matris med ettor i diagonalen och nollor i övrigt. Det är den matris som motsvarar 1 för vanliga tal när man multiplicerar.
Okej, fick till men hur ska jag tänka när det kommer till , är det bara att beräkna matrisen och sen 1/svaret? Samt hur ska man veta när enhetsmatrisen ska användas?
Jag fick inversen till
Hej igen,
När det står matris^-1 så menar man inversen till matrisen. Vet du hur du får fram en invers? Här kan du läsa mer om att finna inversen till en matris.
Du använder enhetsmatrisen när du bryter ut en matris som såhär
(1)
Man kan jämföra enhetsmatrisen med en det som i vanliga fall hade varit en etta. Om vi har två reella tal a och b så kan vi skriva följande
. (2)
Detta är nog den bästa jämförelsen jag kan göra. Hjälper detta dig?
Kom ihåg att använda räkneregler för matriser. Notera att matrisprodukt ej är kommutativ. "Mult från höger med ..." resp. "Mult från vänster med ..." är viktiga steg när du så småningom ska lösa ut X.
