1
svar
115
visningar
Matris

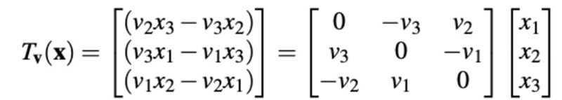
Hur går man tillväga för att komma fram till att Tv(x) ger just den matrisen A?
Du multiplicerar varje rad i den första matrisen med kolumnen i den andra matrisen.
0*x1-v3*x2+v2*x3
v3*x1+0*x2-v1*x3
-v2*x1+v1*x2+0*x3