4 svar
480 visningar
freddylino behöver inte mer hjälp
freddylino 2 – Fd. Medlem
Postad: 2 sep 2020 16:21

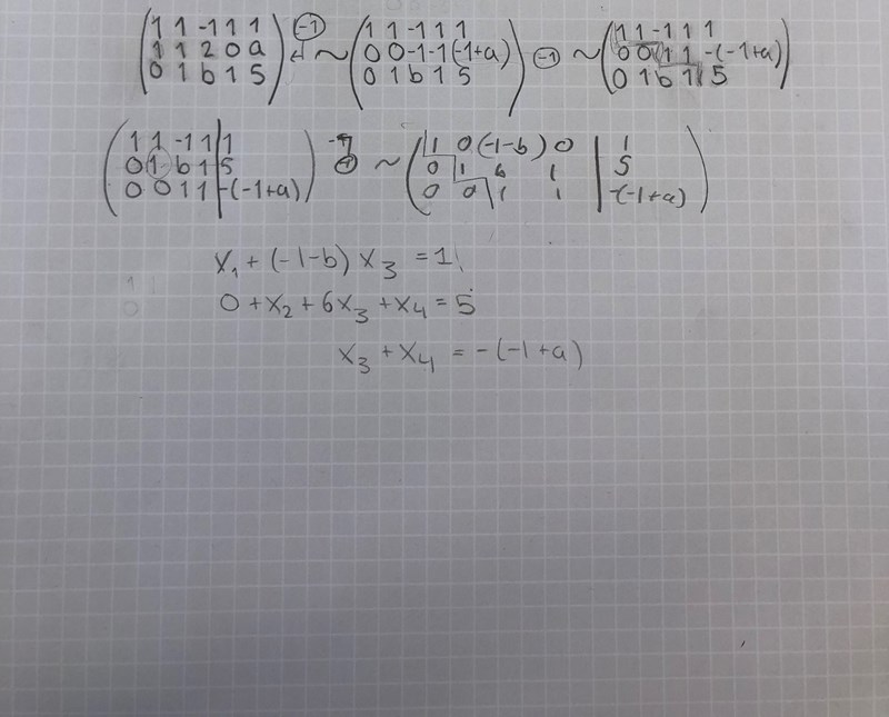
Matris med variabler

Hej! Jag har ett litet problem med en uppgift. Detta är inom linjär algebra. 

Jag är på uppgift a) och har börjar göra gausselimination på en matris jag har skapat av koefficienterna framför varje variabel i ekvationssystemet. Jag har försökt att byta plats på de olika raderna men det går inte så bra. Jag vet inte om jag har kommit fram till en ”färdig” matris. Jag försökte att skriva ekvationerna igen med à och b men det går inte så mycket framåt.

Laguna 32135
Postad: 2 sep 2020 18:49

Jag kan ha fel, men jag tycker systemet har lösningar för alla värden på a och b. 

freddylino 2 – Fd. Medlem
Postad: 3 sep 2020 11:55

Skulle du kunna förklara lite mer varför a och b kan vara vilket värde som helst? :)

Laguna 32135
Postad: 3 sep 2020 12:12

Du kan sätta värden på x3 och x4 så att högerledet stämmer, och sedan räkna ut x2 och x1 med raderna två och ett i din gaussade matris.

Mega7853 212
Postad: 3 sep 2020 12:58

Samma fråga finns här. Den verkar vara klurig.
https://www.pluggakuten.se/trad/linjara-ekvationssystem-10/?#post-40c4cdf1-17c6-4c1f-b3ab-ac2901059f59

I ditt första steg ser det ut som att du tar r2-r1->r2 och det ser inte ut som att du gjort rätt i tredje kolumnen.

När du gjort gausselimineringen kan du testa om systemet är konsistent (om det har minst en lösning) genom att titta på den nya matrisen och försöka se om konsistensvillkoret påverkas av a och b.

Jag tror(!) att du inte behöver nå den kanoniska matrisen för att kontrollera konsistens, utan det räcker med trappstegsform.

Uppgift b) kan du se direkt på ekvationssystemet.

Uppgift c) bygger på uppgift a). Välj några enkla värden på a och b.

Svara
Close