Matris till avbildning - Linjär algebra
Här är uppgiften:
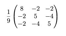
Deluppgift a har jag löst. Vi projicerar standard basens vektorer (1, 0, 0), (0, 1, 0) och (0, 0, 1) på planet H och får standardmatrisen
Detta stämmer överens med uppgiftens facit
Det är deluppgift b jag har problem med, och jag måste erkänna att jag inte helt förstår frågan.
I facit står det

Jag förstår varför de första två vektorerna inte förändras under projektion (punkterna ligger på planet) och varför normalen blir (0, 0, 0), men jag förstår inte hur detta relaterar till matrisen .
Vad menas ens med att är matrisen för T? Vi har redan hittat standardmatrisen så det är inte den.
Är du med på att avbildningen T kommer beskrivas med olika matriser beroende på vilken bas du använder?
SackDantOur skrev:Vad menas ens med att är matrisen för T?
Om detta är matrisen för projicering ner på planet innebär det att om en vektor skall projiceras ner på planet kan man göra detta genom att multiplicera denna matris med vektorn.
Eftersom att matrisen är rätt så lik en identitetsmatris kanske man kan räkna ut att baserna är valda sådana att ê1 och ê2 projiceras på sig själva, dvs. multiplicerar man T med vektorn (1,0,0) eller (0,1,0) så får man tillbaka (1,0,0) respektive (0,1,0).
Vilka vektorer har den egenskapen att de blir oförändrade av att man projicerar ner dem på planet? Jo, de som ingår i planet. Så de två första basvektorerna ê1 och ê2 måste vara parallella till planet.
Den sista basvektorn är sådan att om man projicerar ner den på planet får man endast 0-vektorn kvar. Detta eftersom att om man multiplicerar T med (0,0,1) kommer man få ut (0,0,0). Detta gör att tredje basvektorn ê3 är vald så att man inte får någonting kvar då man utför projiceringen.
Vilken vektor har egenskapen att ingenting återstår då man projicerar ner dem på planet? Jo, den som är vinkelrät mot planet. Så den tredje basvektorn ê3 måste vara parallell med planets normal.
Micimacko skrev:Är du med på att avbildningen T kommer beskrivas med olika matriser beroende på vilken bas du använder?
Så är standardmatris till avbildningen T i standardbasen, medan är samma standarmatris i en annan bas?
SackDantOur skrev:Micimacko skrev:Är du med på att avbildningen T kommer beskrivas med olika matriser beroende på vilken bas du använder?
Så är standardmatris till avbildningen T i standardbasen, medan är samma standarmatris i en annan bas?
Precis!