4
svar
311
visningar
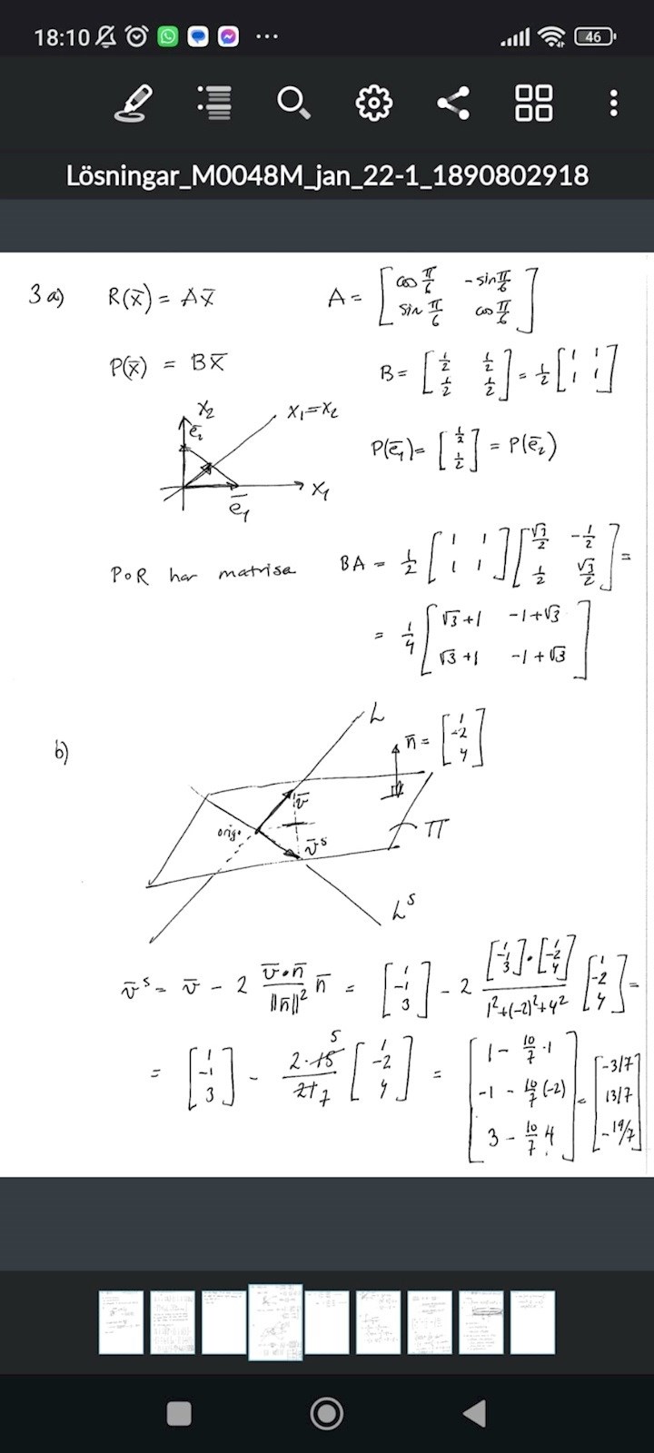
Matris till projektion
Hej! Jag försöker göra en fråga från en gammal tenta men förstår inte hur de kommer fram till projektionsmatrisen?
Så här ser frågan ut (3a):

Så här ser facit ut:

För att räkna ut en avbildningsmatris kan man beräkna avbildningarna av basvektorerna och sedan stoppa in resultatet som kolumner i matrisen. Hur projiceras (1,0) och (0,1)?
Det är det jag inte förstår:( hur man prijecerar e1 och e2:(
Om du vill projicera en vektor x på en annan vektor v så finns det en känd formel för detta.
projv(x) = (x•v)v/|v|2.
Annars kan du lösa det genom att tillämpa lite trigonometri på figuren i facit.
Nu förstår jag! Tack så mycket:)
