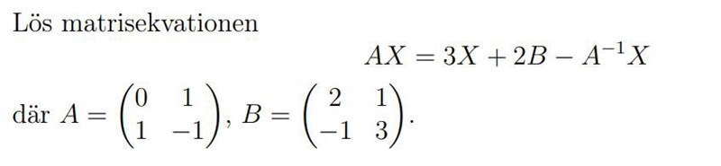
Matrisekvation

Ska lösa denna men jag fastnar på att lösningsförslaget säger att
kan skrivas som
Där .
Vad är 3I för något och hur kom den dit?
Börja från början, hur skulle du göra för att lösa ut X? :)
Jag kom så långt som till;
Sen blir jag osäker på om jag ska gå vidare på detta vis;
Sätt inte in matriserna förrän det är dags att räkna, så undviker du förvirring. :) Om du flyttar alla termer med X i till vänsterledet får du:
Vad händer om du löser ut X?
Nästan! Dels måste X stå till höger om parentesen, då matrismultiplikation inte är kommutativ, och sedan kommer vi till frågan om . Vad står trean för i din ekvation? :)
Just ja, så var det med multiplikationen :)
Jag kan inte komma fram till något annat än att 3 är för 3X, men det visste vi ju redan. Sen står det helt stilla uppe i huvudet...
I vanlig aritmetik är det korrekt att 3 står för 3X, men när det gäller matriser får vi problem med otydlighet. Om du bara skriver "3", menar du konstanten 3, och inte matrisen . Därför skrivs trean som . :)
Då förstår jag!
Då tänker jag att nästa steg är att multiplicera in X, men detta ger fel svar enligt facit.
Utmärkt!
Nja, det är ju X du vill hitta. Om du har ekvationen , hur löser du den? Kan du göra något liknande här?
Jag tänkte att det skulle vara
-2x=4 , x=-2
2x=2, x=1
2x=-2, x=-1
-4x=6, x=-3/2
så alltså eller om man ska snygga till det .
Facit säger
-2x=4 , x=-2
2x=2, x=1
2x=-2, x=-1
-4x=6, x=-3/2
Vad betyder allt detta? Är det de individuella talen i matrisen X? Hur får du fram dessa, i sådant fall?
Börja med en mycket enklare variant. Om du har ekvationen , hur löser du den?
Ja precis, det är talen individuellt. Alltså att höger hörn högst upp blir -2x och det motsvarar 4 i den andra matrisen.
5x=8 blir x=8/5
Aha, nej det blir inte riktigt rätt, eftersom .
5x=8 blir x=8/5
Mycket riktigt. Något liknande måste du göra med matrisen X. Division är inte riktigt en grej inom linjär algebra, men ett likvärdigt alternativ till är . Du behöver alltså hitta inversen till matrisen i VL. Vad är inversen till ?
inversen blir .
Blir då detta ?
Det är lite svårt att följa dina beräkningar. Tänk såhär:
När du beräknat inversen behöver du multiplicera med den på båda sidor
Alltså
Tack, nu förstår jag!
Utmärkt! Varsågod! :)