Matrisekvation
Uppgiften lyder;
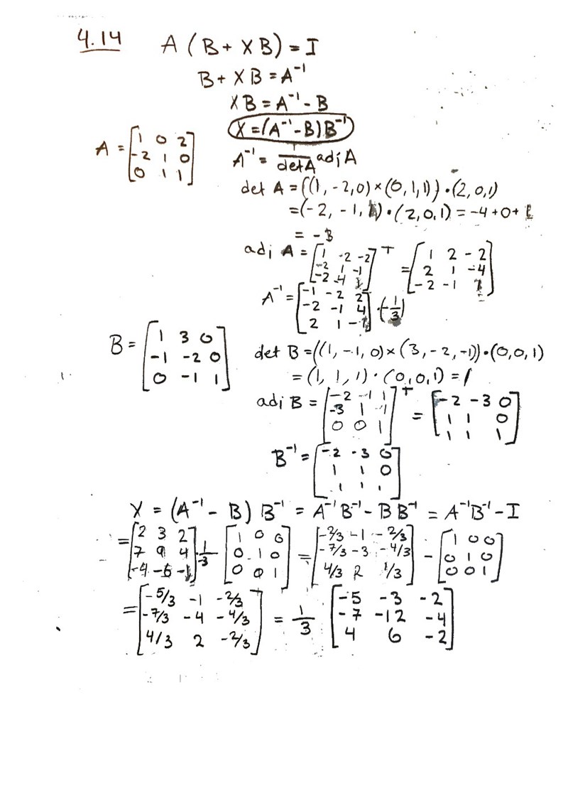
Lös matrisekvationen A(B+XB)=I
där A och B är matriserna som syns på uträkningen. Jag trodde att jag hade räknat rätt, men får fel svar enligt facit. Jag har dubbelkollat inversmatriserna online samt matrismultiplikationen A-1B-1. Därmed antar jag att det är något fel på hur jag skriver om A(B+XB)=I till X=A-1B-1-I

Det blir fel redan i början, A är längst till vänster så om vi slår till med inverse så får vi B+BX=A^(-1)I osv.
Dracaena skrev:Det blir fel redan i början, A är längst till vänster så om vi slår till med inverse så får vi B+BX=A^(-1)I osv.
Men bör inte A-1I=A-1?
Jo, det är rätt. Men titta på definitionen av adjungerad matris igen.
adjA = (cofA)T
(cofA)ij = (-1)i+jMij(A), där Mij(A) är den underdeterminant som man får om man stryker rad i och kolumn j i matrisen A.
sortedsofie skrev:Dracaena skrev:Det blir fel redan i början, A är längst till vänster så om vi slår till med inverse så får vi B+BX=A^(-1)I osv.
Men bör inte A-1I=A-1?
Jag som läste slarvigt, ursäktar.
PATENTERAMERA skrev:Jo, det är rätt. Men titta på definitionen av adjungerad matris igen.
adjA = (cofA)T
(cofA)ij = (-1)i+jMij(A), där Mij(A) är den underdeterminant som man får om man stryker rad i och kolumn j i matrisen A.
Vilken menar du har blivit fel?
Vad säger facit?
Laguna skrev:Vad säger facit?
Man kan ju sätta in din och facits X i ekvationen och se vilken som stämmer.
Laguna skrev:Man kan ju sätta in din och facits X i ekvationen och se vilken som stämmer.
När jag sätter in mitt X i ekvationen får jag -I, alltså enhets matrisen men med -1 som diagonalelement... Så något har blivit fel på vägen. (Facit ger dock rätt svar)
Det är löst! Vid beräkning av A-1 hade jag redan multiplicerat in minus tecknet, men skrivit ut -1/3, därmed blev resten av uträkningen fel.