4
svar
129
visningar
LettuceHead behöver inte mer hjälp
Matrisekvation
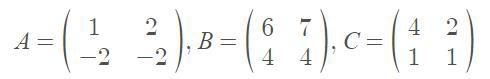
Hej! Jag håller på med matrisekvationer just nu och är osäker på hur jag ska lösa matrisekvationen
C(XA+B)=A där

Jag vet dock inte hur jag ska ordna ekvationen så att jag får X för sig på rätt sätt. Jag får det till antingen
X = C-1 x A - B x A-1
eller
X = C - BA-1
Vet ej vilket som är det rätta, eller om båda är helt fel. Hjälp!
Mycket välkommen till Pluggakuten.
Du är på god väg. Målet: att lösa ut X. Med räkneregler:
,
Kan du fortsätta själv?
Välkommen till Pluggakuten! Ta det steg för steg. Först och främst behöver vi bli av med C i VL:
Vad kommer sedan?
Gjorde om uppgiften och fick fram att
X = C-1 - BA-1
Stämmer detta?
LettuceHead skrev:Gjorde om uppgiften och fick fram att
X = C-1 - BA-1
Stämmer detta?
Ja.