MATRIX FRÅN HELVETE, DEL ETT
Linjär algebra är ren helvet för slarvare, typ när man måste multiplicera och substrehera två jättematris.
Nu har jag tappat åtminstone över tre timmar för att räkna och verifiera detta. (49 minuter idag, och jag har bara gjort hälften) (jag kan inte skita fullständigt i det, det kommer garanterat på tenat)
Jag vet hur det fungerar. Nämligen att man ta en rad från första matris (som en baguette) och lägger den vertikalt i den andra matris (som en toaster). Man multiplicerar på varje våning och plussar varje tal.
Men på ofattatbar anledning får jag ALLTID fel beräkningar.
Uppgiften lyder:

OBS! Detta uppgift är värt en poäng, som är orimligt när den kostar åtminstone 3 poäng i mentala hälsa. Alla som spelar rollspell förstår kanske vad jag menar.
Annars: i några skräckspel, när man ser en värelse så monstruös och absurdt att medvetandet vägrar att ta in vad den ser, förlorar man en poäng mentala hälsa. När alla poäng är förlorade blir man fulltsändig galen (och följaktigen redo för SUs linjär algebra).
Sorry för digressionen!
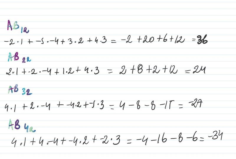
Kan någon läsa igenom min matris AB och påpeka om/var det gick åt skogen, innan jag ger mig på BA?




AB:

4:1: (-2)*(-1) = 2, inte minus två.
3,3: Den sista termen är (-5)*4 = -20.
4:3 (skriven som 3,4 här dock): den första termen har fel tecken, den sista termen är (-2)*4!
Du ser! Det är vad jag sa dig... Det är något karma notan från tidigare liv som har kommit...
Tack, jag återkommer imorgon med ännu mer knasiga beräkningar.
Har Daja övertrasserat karmakontot? :D
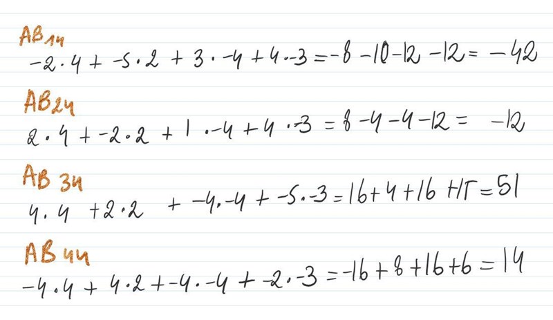
Jag tror jag fortsätter på samma tråd, jag ser inga anledning att spamma utterligare forumet med helvetematriser :)
Japp, karmakonto har exploderat. Sanity också.
Men:




25 minuter (många minuter gick åt att kämpa med surfplatta också)
Dum surfplatta, det går inte att byta storlek.
Det går framåt i första helveten:

Titta på (2,1) och (4, 3) igen. Du har summerat fel. PS: du har vänt på rad- och kolumnnummer i dessa notationer i dina anteckningar. :)
Jag förstår inte hur det kan vara så jobbigt! Tack för noggrannhet kontroll!
Hej!
Produkten av matriserna
och
är
och produkten är lika med matrisen
Eftersom så kommuterar inte matriserna och
Albiki
Albiki, hur kan du göra det utan slarv?
(om svaret är WolframAlpha, den är inte godtagbar på tentor :)
Edit: nu blev det rätt. Jag erkänner med brinnande skam att jag använt mig av Albikis matriser till slut.