2
svar
84
visningar
Matstat fråga
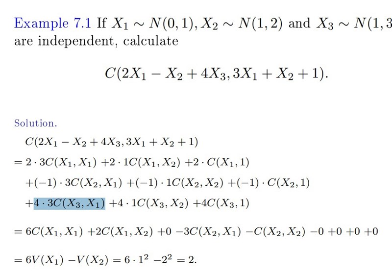
Hej sitter med ett föreläsningsexmpel, där jag får svaret:
6V(x1)-V(x2)-C(x1,x2)+12(x3,x1)+4C(x3,x2)
Jag fattar inte hur t.ex den markerade termen i bilden bara försvinner?

Kovariansen av två oberoende variabler är noll.
Laguna skrev:Kovariansen av två oberoende variabler är noll.
Tack för hjälp!