Matte 3
Vi undersöker tangenter till kurvan y=√x
C) Patrik påstår att tangenterna alltid skär x-axeln i den punkt som har tageringspunktens x koordinat men med motsatt tecken .undersök om det är sant
OBS fattar ej vad jag ska börja ,men det är ju sant det han säger
Hur vet du att det är sant?
Testa räkna några tangenter och deras xaxel skärning, tex vid x=1,2,3. Ser du något mönster?
Matteuppgift95 skrev:OBS fattar ej vad jag ska börja
- Börja med att derivera funktionen.
- Det ger dig tangenternas lutning.
- Eftersom du känner till tangeringspunkterna så kan du bestämma tangenternas ekvationer y = kx + m.
- Ta reda på var tangenterna skär x-axeln, dvs lös ekvationerna kx + m = 0.
Du får lösa detta analytiskt men kan via grafen uppskatta att det är sant.
Börja med att derivera funktionen och därigenom ta fram k-värdet för grafen i generella termer.
Sedan kan du sätta upp tangentens ekvation i någon punkt , typ och arbeta med uttrycket.
Slutligen tar du fram tangentens skärning med x-axeln för att bevisa tesen
Deriverar jag √x får jag x upphöjt till o,5
Vad gör jag sen?
Rita upp kurvan och rita upp några tangenter.
Ta fram hela den linjära funktionen för några tangenter, alternativt ta fram ett uttryck för den linjära funktionen som en funktion av tangeringspunkten x0.
Matteuppgift95 skrev:Deriverar jag √x får jag x upphöjt till o,5
Vad gör jag sen?
Nej det stämmer inte.
Du har att .
Du kan nu använda deriveringsregeln att derivatan av är lika med .
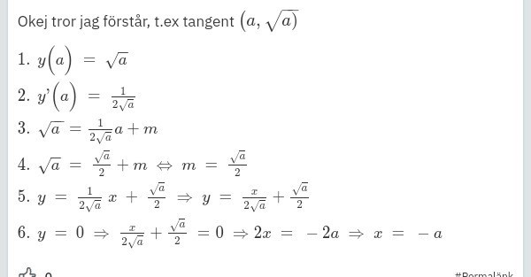
Såhär hade nån gjort denna uppgift innan,han ersätte x med a ,för att lösa uppgiften.Då jag försöker förstå hur han har tänkt,men är hans svar korrekt? 
Matteuppgift95 skrev:Help
Matteuppgift95, det står i Pluggakutens regler att man skall vänta åtminstone 24 timmar innan man bumpar sin tråd. Om du fortsätter bryta mot Pluggakutens regler riskerar du att bli avstängd. Det står också att din rubrik skall beskriva vad tråden handlar om. Eftersom du helt korrekt har lagt den här tråden i ma3 tillför rubriken "Matte 3" ingenting. /moderator
Matteuppgift95 skrev:Såhär hade nån gjort denna uppgift innan,han ersätte x med a ,för att lösa uppgiften.Då jag försöker förstå hur han har tänkt,men är hans svar korrekt?
Detta är rätt svar. x=-a säger att x-koordinaten då linjen skär x-axeln är -a. Detta var vad uppgiften bad om.