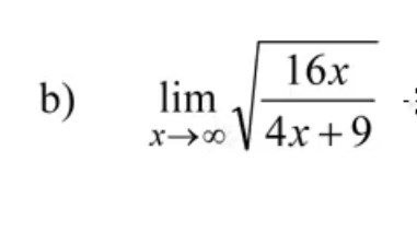
Matte 3b - ” x går mot oändligheten”
Hejsan!
Jag förstår inte riktig hur man ska lösa uppgiften nedan, tacksam om någon kan hjälpa.
svaret enligt facit är 4

Bryt ut x i täljaren och nämnaren.
rapidos skrev:Bryt ut x i täljaren och nämnaren.
Det går väl inte bryta ut x i nämnaren? Jag förstår inte
Swateie skrev:rapidos skrev:Bryt ut x i täljaren och nämnaren.
Det går väl inte bryta ut x i nämnaren? Jag förstår inte
Hej!
Jodå,
.
Gör nu likadant i täljaren och se vad du får.
Moffen skrev:Swateie skrev:rapidos skrev:Bryt ut x i täljaren och nämnaren.
Det går väl inte bryta ut x i nämnaren? Jag förstår inte
Hej!
Jodå,
.
Gör nu likadant i täljaren och se vad du får.
Menar du så ?
Du kan göra så, men jag tänkte mig ännu enklare,
.
Ser du att du kan stryka den gemensamma faktorn nu?
Vad blir kvar?
Moffen skrev:Du kan göra så, men jag tänkte mig ännu enklare,
.
Ser du att du kan stryka den gemensamma faktorn nu?
Vad blir kvar?
=
=
Swateie skrev:Moffen skrev:Du kan göra så, men jag tänkte mig ännu enklare,
.
Ser du att du kan stryka den gemensamma faktorn nu?
Vad blir kvar?
=
=
Stanna efter din första rad. Vilket tal kommer nämnaren att närma sig, om x går mot oändligheten?
Smaragdalena skrev:Swateie skrev:Moffen skrev:Du kan göra så, men jag tänkte mig ännu enklare,
.
Ser du att du kan stryka den gemensamma faktorn nu?
Vad blir kvar?
=
=Stanna efter din första rad. Vilket tal kommer nämnaren att närma sig, om x går mot oändligheten?
Två?
Två?
Njaea, till slut så har du rätt i att nämnaren är (om man tar roten ur före man beräknar bråket), men först så har du
,
vad går nämnaren mot här?
Varför?
Motivera.
Sen är du nästan i mål, du behöver bara beräkna kvoten och sen roten ur det.
Moffen skrev:Två?
Njaea, till slut så har du rätt i att nämnaren är (om man tar roten ur före man beräknar bråket), men först så har du
,
vad går nämnaren mot här?
Varför?
Motivera.
Sen är du nästan i mål, du behöver bara beräkna kvoten och sen roten ur det.
Ja, jag menar den går mot 4 eftersom 9 delad med ett väldigt stor tal blir ungefär 0
Ja, jag menar den går mot 4 eftersom 9 delad med ett väldigt stor tal blir ungefär 0
Precis!
Då har du alltså beräknat gränsvärdet
,
vilket förenklas till...?
Swateie skrev:Moffen skrev:Du kan göra så, men jag tänkte mig ännu enklare,
.
Ser du att du kan stryka den gemensamma faktorn nu?
Vad blir kvar?
=
=
Jag vill även påpeka att vad det nu än är du gör mellan rad 1 och rad 2 är helt fel här, du får inte dra roten ur på det viset (trots att det konstigt nog ger rätt svar tillslut). Det du får göra om du vill är att skriva om det till
.
Moffen skrev:Ja, jag menar den går mot 4 eftersom 9 delad med ett väldigt stor tal blir ungefär 0
Precis!
Då har du alltså beräknat gränsvärdet
,
vilket förenklas till...?
Japp, det blir 2
Moffen skrev:Swateie skrev:Moffen skrev:Du kan göra så, men jag tänkte mig ännu enklare,
.
Ser du att du kan stryka den gemensamma faktorn nu?
Vad blir kvar?
=
=Jag vill även påpeka att vad det nu än är du gör mellan rad 1 och rad 2 är helt fel här, du får inte dra roten ur på det viset (trots att det konstigt nog ger rätt svar tillslut). Det du får göra om du vill är att skriva om det till
.
Så man får ej göra så?
Swateie skrev:
Så man får ej göra så?
Jo så får du göra.
Men du får inte göra som du gjorde i detta svar.
Yngve skrev:Swateie skrev:Så man får ej göra så?
Jo så får du göra.
Men du får inte göra som du gjorde i detta svar.
Okej men dåså
Tack för alla svar, jag förstår