Matte 3b
Har uppgiften
Beräkna arean av det område som begränsas av kurvorna y = 6 − x2 och y = x2 − 2x + 2
Har jag tänkt rätt med uträkningen?

Du har gjort fel i förenklingen, -2x-2x = -4x
Jag upptäcker ett fel när subtraherar den övre ekvationen från den undre. Du har (6-x2) - (x2-2x+2), det blir (4-2x2+2x). Du tappade alltså -2x2 i dina beräkningar, men f ö ser det ut som om du gjort rätt.
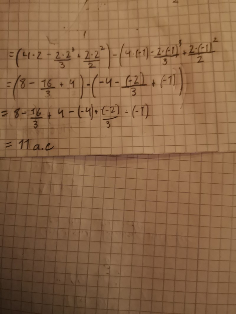
Så då är det bara 4-2x^2+2x som ska in i uträkningen istället för 4+2x?
Henrik skrev:Jag upptäcker ett fel när subtraherar den övre ekvationen från den undre. Du har (6-x2) - (x2-2x+2), det blir (4-2x2+2x). Du tappade alltså -2x2 i dina beräkningar, men f ö ser det ut som om du gjort rätt.
Gjorde om uträkningen nu med (4-2x^2-2x)
Ser det bättre ut nu?
