14 svar
293 visningar
fillep behöver inte mer hjälp
fillep 38 – Fd. Medlem
Postad: 30 jan 2022 15:54

matte 3b, kap 3 andrederivata

hej! hur ska jag gå tillväga med denna? är lite förvirrad..

Bestäm g(x) om g ’’ (x) = 3 – x^2 och g (3) = 2 samt g ’ (1) = 5. 

tacksam för alla svar!

Bubo 8038
Postad: 30 jan 2022 15:58

Du har ett uttryck för g".

Vad kan då uttrycket för g' vara?

Fatime G 191
Postad: 30 jan 2022 16:36

Först behövs det att det integreras, eller hur?

fillep 38 – Fd. Medlem
Postad: 30 jan 2022 17:13
Fatime G skrev:

Först behövs det att det integreras, eller hur?

hur går jag tillväga då? får inte till något

fillep 38 – Fd. Medlem
Postad: 30 jan 2022 17:14
Bubo skrev:

Du har ett uttryck för g".

Vad kan då uttrycket för g' vara?

g'' är andraderivatan väl? 

g' är derivatan men går det att göra av andrederivatan?

Smaragdalena 78892 – Avstängd
Postad: 30 jan 2022 17:57

Du behöver "derivera baklänges" d v s integrera, två gånger.

fillep 38 – Fd. Medlem
Postad: 30 jan 2022 19:34
Smaragdalena skrev:

Du behöver "derivera baklänges" d v s integrera, två gånger.

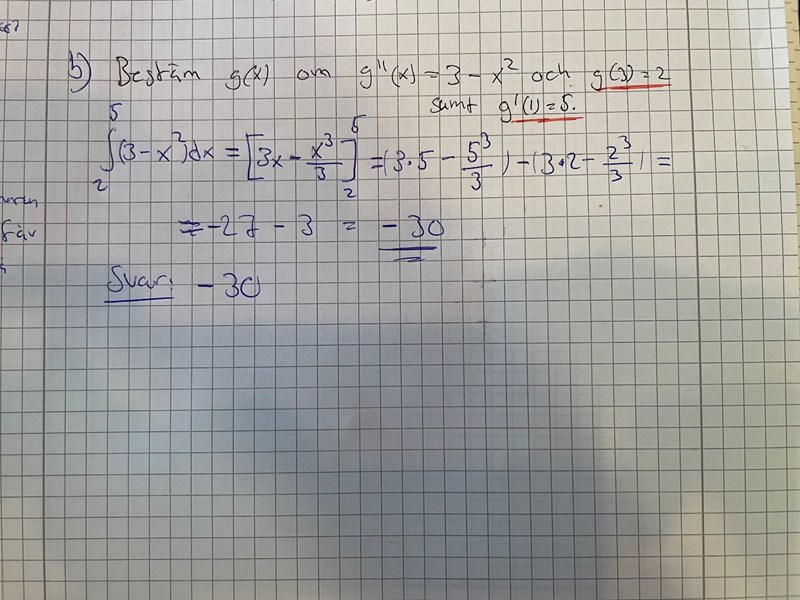
Ungefär såhär eller?

Bubo 8038
Postad: 31 jan 2022 11:54 Redigerad: 31 jan 2022 12:00

Nja, nånting ditåt.

Men man ska inte beräkna en integral. Det finns ju inga integrationsgränser.

"Antiderivatan", primitiva funktionen, till x2 är (x3)/3, men vad är primitiva funktionen till 3?

Sedan kan man säga att det står "plus noll" i funktionen. Vad är det som har derivatan noll?

fillep 38 – Fd. Medlem
Postad: 1 feb 2022 11:32
Bubo skrev:

Nja, nånting ditåt.

Men man ska inte beräkna en integral. Det finns ju inga integrationsgränser.

"Antiderivatan", primitiva funktionen, till x2 är (x3)/3, men vad är primitiva funktionen till 3?

Sedan kan man säga att det står "plus noll" i funktionen. Vad är det som har derivatan noll?

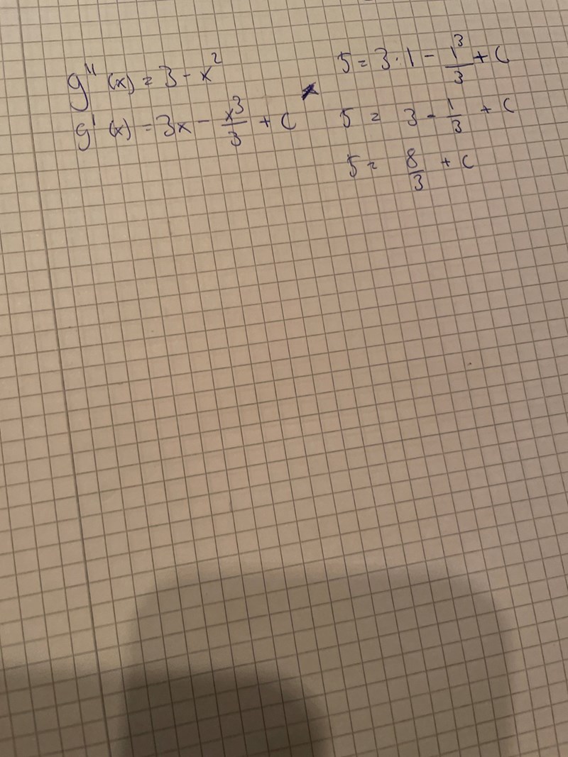
Ser det rätt ut? Kom fram till detta

Bubo 8038
Postad: 1 feb 2022 12:28

Vad har du beräknat och vad är själva uppgiften?

fillep 38 – Fd. Medlem
Postad: 1 feb 2022 16:25
Bubo skrev:

Vad har du beräknat och vad är själva uppgiften?

Själva uppgiften är ”Bestäm g(x) om g ’’ (x) = 3 – x^2 och g (3) = 2 samt g ’ (1) = 5. ”

fillep 38 – Fd. Medlem
Postad: 2 feb 2022 11:47

hur ska jag ens börja? är detta en c eller a nivå? tycker den är as komplicerad.. kommer ingen vart. 

Bubo 8038
Postad: 2 feb 2022 11:53

Börja med en liten del. Börja t.ex. med en andraderivata som är 3. 

Om andraderivatan är 3, vad är då förstaderivatan? Vad ska man derivera för att få 3?

fillep 38 – Fd. Medlem
Postad: 3 feb 2022 17:29

Ser det någorlunda rätt ut? Iallafall på väg?

Bubo 8038
Postad: 3 feb 2022 18:16

Ja, det är rätt.

Svara
Close