Matte 3bc, uppgift 1283, hur fungerar egentligen nollproduktsmetoden här?
Visa spoiler
Skriv ditt dolda innehåll här
Hej!
Jag har fastnat i en procedur som jag inte riktigt förstår och som också förekommer i allmänna lösningar av ekvationer. Min fråga är varför vissa termer med x i kan lösas med nollproduktsmetoden. I detta exempel som jag undrar över är a, inte en variabel, och varför kan då konstanten a, ge x, värdet 0 i uppgiften. Som jag tror ska vara syftet med proceduren.
Och tänker jag rätt?…

Ditt uttryck för f(f(x)) ser rätt ut. Du får ett värde på a genom att sätta x = 0, vilket är ok, för det ska gälla för alla x.
Sedan ska du bara kolla att det faktiskt gäller för alla x: 2a+6 = 0. Du gör i stället så at du löser ekvationen på ett annat sätt, och får a = -3, så det är också bra.
En ekvation som x(2a+6) = 0 kan behandlas med nollproduktmetoden, det spelar ingen roll vad man betraktar som variabel. Det gäller lika bra för en okänd konstant som vi vill räkna ut.
Jag förstår. Vågskålen ska vara lika oavsett värdet på x multiplicerat med (2a+6). Uteslutningsmetoden ger, a i kvadrat, värdet 9 när x = 0, som även ska gälla alla x, när x är större eller mindre än 0.
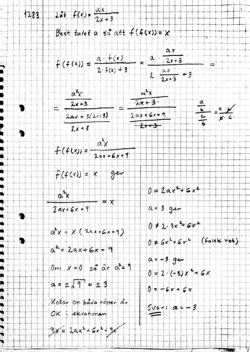
Löste tillslut uppgiften på ett tydligare sätt som vi kan se på bilden.
Tack för hjälpen!

Ditt svar är rätt, men jag tycker att lösningen innehåller ett problem.
Det ser bra ut fram hit:

Sedan dividerar du med x, vilket är OK om x är skilt från 0.
Problemet är att det fortsatta resonemanget bygger på att x är lika med 0, vilket ju inte är fallet.
(I själva verket kan a ha vilket värde som helst om x är lika med 0.)
Jag föreslår att du istället går vidare på följande sätt:
a2x = 2ax2+6x2+9x
2ax2+6x2-a2x+9x = 0
x(2ax+6x-a2+9) = 0
Nollproduktmetoden ger nu de två lösningarna
x = 0 och
2ax+6x-a2+9 = 0
Vi ser att om x = 0 så kan a ha vilket värde som helst.
Den andra lösningen 2ax+6x-a2+9 = 0 kan skrivas (2a+6)x+(9-a2) = 0, där vänsterledet kan ses som en rät linje med k-värde 2a+6 om m-värde 9-a2, dvs y = (2a+6)x+(9-a2).
Ekvationen y = 0 kan då tolkas som den räta linjen ska sammanfalla med x-axeln.
Det gör den endast om både j-värdet och n-värdet är lika med 0.
Det ger oss de två ekvationerna
2a+6 = 0
9-a2 = 0
Vilket i sin tur ger svaret a = - 3.
========
Ett annat alternativ är att lösa ut a ur ekvationen 2ax+6x-a2+9 = 0, vilket endast ger ett värde på a som är oberoende av x.
Du fick en lösning då y = 0 som inte jag fick. Det jag skulle gjort var alltså att förenkla vidare, använda nollproduktmetoden (som jag inte förstod hur) och testa sätta ihop den ena produkten enl. formen kx + m. Det jag gjorde istället var ju att förändra uttrycket lite på båda sidor och betrakta HL enl. formen ax2 + bx + c, där jag satte x till noll som gav ett värde på c som jag tänkte skulle vara lika med a2.
Riktigt kul och lärorikt. Tack för hjälpen! Vilken rolig uppgift!
Pingugnip skrev:Det jag skulle gjort var alltså att förenkla vidare, använda nollproduktmetoden (som jag inte förstod hur)
Nollproduktmetoden går ut på att om en produkt av två (eller flera) faktorer är lika med 0 så måste minst en av faktorerna ha värdet 0.
Exempel: För att produkten A•B ska kunna ha värdet 0 måste antingen A eller B (eller både A och B) vara lika med 0.
Det går ibland att utnyttja vid ekvationslösning.
Om vi t ex. har en ekvation som lyder A•B = 0 så kan vi med hjälp av nollproduktmetden dela upp den i två enklare ekvationer, nämligen A = 0 och B = 0.
I den här uppgiften är den komplicerade ekvationen x•(2ax+6x-a2+9) = 0
Vänsterledet är en produkt av de två faktorerna x och (2ax+6x-a2+9).
Eftersom produkten ska ha värdet 0 (högerledet) så kan vi med hjälp av nollproduktmetoden dela upp denna ekvation i de två enklare ekvationerna x = 0 och 2ax+6x-a2+9 = 0.
Blev det lite klarare kring nollproduktmetoden då?
Ja, nu är det glasklart! Tack för förklaringen.