matte 3c
Hej,
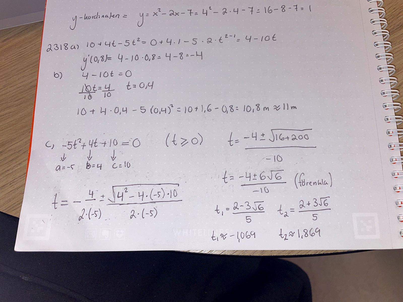
Jag har fastnat på sista delen i en uppgift, det känns som att jag har svaret rakt framför mig, bara att jag har svårt att förstå varför just det blir svaret...eller så missar jag något på vägen? Såhär ser uppgiften ut:

Jag har hittills löst a) och b) utan problem. Det är c) som jag fastar på. Försökte göra abc lösningen för andragrads- och polynomgrads- funktioner men förstår inte riktigt vad som blir själva medelhastigheten. Är det de negativa värdet då hon faller?


Tacksam för hjälp! :)
c) När slår hon i vattnet?
10+4t–5t^2 = 0 ger t
Använd derivatan.
Du har fått fram t ≈ 1,869, stämmer med min huvudräkning.
s’(t) = 4–10t
s’(1,9) = 4–19, dvs farten är 15 m/s
Stämmer?
Stämmer inte enligt hur boken rättar det digitalt... :/
Testa -15. Y definierat uppåt.
A-svaret var ju oxå negativt.
Uträkningen i A ser inte riktigt bra ut. Man skall bara använda likhetstecken när likhet gäller. Nu skriver du funktionen = derivatan och det stämmer inte.
bästa är att skriva så här:
y(t) = 10+4t-5t^2
y’(t) = 4-10t
