3 svar
249 visningar
N#!R behöver inte mer hjälp
N#!R Online 1376
Postad: 20 sep 2023 18:50

Matte 3c uppdrag 5

Hej!!

Jag har en fråga som inte jag kunde lösa riktigt... skulle någon hjälpa mig...

Här är frågan....

Behöver hjälp så snabbt som möjligt... tack!

N#!R Online 1376
Postad: 20 sep 2023 18:53
ii_noor06 skrev:

Hej!!

Jag har en fråga som inte jag kunde lösa riktigt... skulle någon hjälpa mig...

Här är frågan....

Behöver hjälp så snabbt som möjligt... tack!

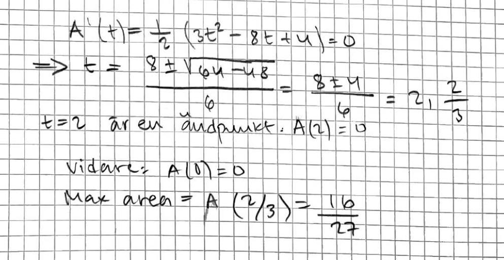
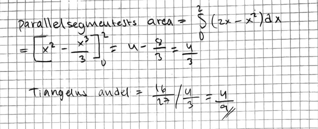
Här är min lösning... värkar det vara rätt? eller är det helt fel?

Laguna 31788
Postad: 20 sep 2023 19:00

Det ser rätt ut. Det sista, andelen, behövde du nog inte göra.

N#!R Online 1376
Postad: 20 sep 2023 19:02
Laguna skrev:

Det ser rätt ut. Det sista, andelen, behövde du nog inte göra.

Finns det något fel i lösningen eller är du helt säker att det är rätt?


Tillägg: 1 okt 2023 16:24

Tack för svar!!

Svara
Close