2
svar
106
visningar
Matte 4, blandade uppgifter 1-3, uppgift 37
Hej! Jag har suttit med den här uppgiften ett tag nu men kommer ingenstans. Jag har testat att sätta de två integralerna lik med varandra men eftersom det är för många obekanta så funkar det inte. Jag har också försökt substituera för att få fram a eller b men som sagt, för många obekanta. Skulle uppskatta tips!😁



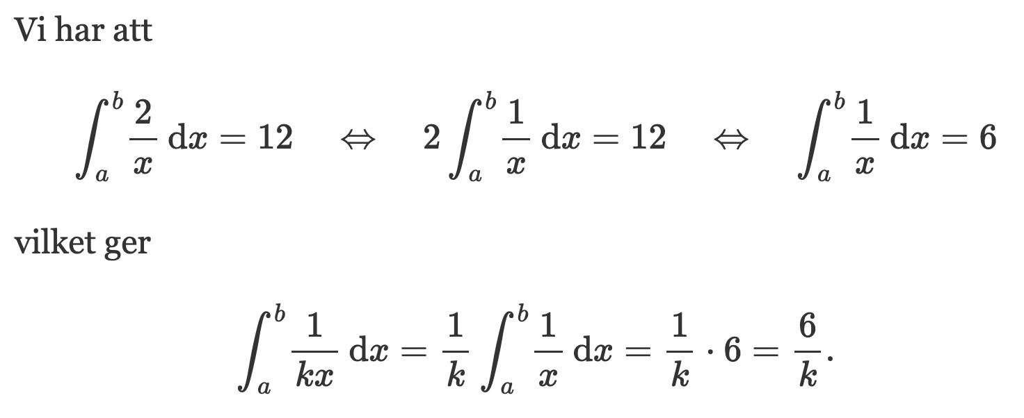
https://mathb.in/80351
Trinity2 skrev:
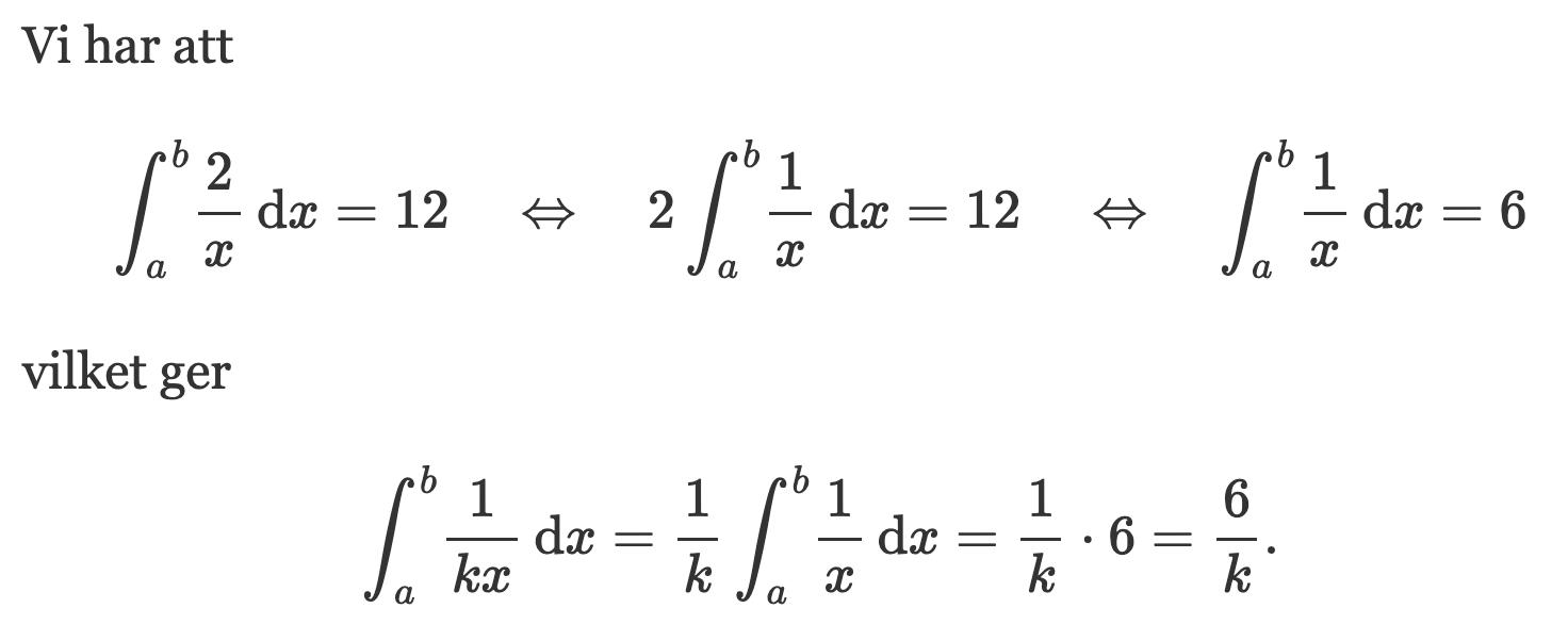
https://mathb.in/80351
Tack för hjälpen! :)
