Matte 4140c)
Hej.
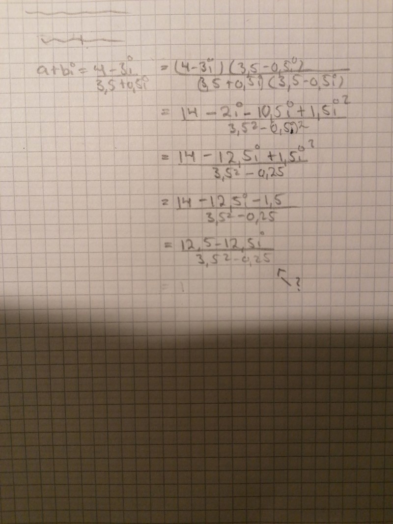
Det blir svåra huvudräkningar om jag räknar med dessa decimaler. Hur skulle jag alt. Räkna?


Skriv z som z=x+yi. Sen sätter du in det i uttrycken och räknar ut vad du får. Du får då olika uttryck med realdel och eller imaginärdel som innehåller x och y. Sen sätter du att realdelen ska vara lika med det som är givet, tex 10 i a, och imaginärdelen ska vara det som är givet, tex 5 i a. Då får du två ekvationer och två obekanta, x och y, så kan du lösa ut värdet på x och y.
b ser rätt ut. Det är inte så svåra huvudräkningar.
Hilda skrev:b ser rätt ut. Det är inte så svåra huvudräkningar.

Du har råkat räkna fel på nämnaren, den ska vara 3,52+0,25. I övrigt har du gjort rätt. 3,52 kanske är svårt att räkna i huvudet, men med uppställning eller knepet 3,5•3,5 = 3•3,5 + 0,5•3,5 går det bra.
För att få enklare beräkningar kan du bryta ut 0,5 ur nämnaren innan du börjar. Du får då
...o.s.v.