2
svar
199
visningar
topclass164 behöver inte mer hjälp
Matte 5 - Integraler
Hej, jag har klurat på en fråga ganska länge nu och kommit fram till det här. Är det rätt?
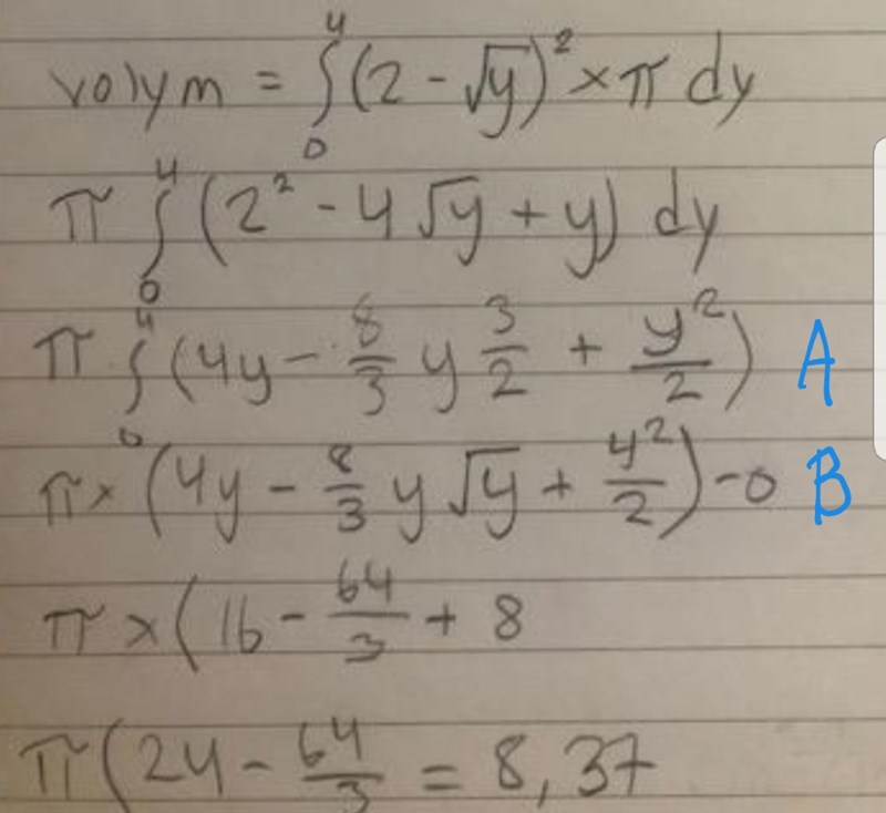
Här kommer frågan: .jpg?width=800&upscale=false)
Och här kommer mitt svar: .jpg?width=800&upscale=false)
Ska du verkligen svara med ett närmevärde? istället för ett exakt värde (8pi/3 ve)?
annars ser det rätt ut, men du slarvar med högerparenteser på en del ställen
Ett par felskrivningar till:
A: Här har du tagit fram en primitiv funktion men behållit integraltecknet.
B: Här har du inte ersatt alla förekomster av y med 4.
