Matte 5000+ 3c 1154 Bestäm x så att cylindern och kuben får samma volym.
Har fastnat på denna. Får fram att x3= pi * x2(36-x) och har försökt lösa detta utan resultat. All hjälp på vägen uppskattas, gärna en ledtråd i rätt riktning iallafall.
Molundinho skrev:Har fastnat på denna. Får fram att x3= pi * x2(36-x) och har försökt lösa detta utan resultat. All hjälp på vägen uppskattas, gärna en ledtråd i rätt riktning iallafall.
Bra start! Nästa steg är att dela med x2 på båda sidor. Hur ser ekvationen ut när du har gjort detta?
Smaragdalena skrev:Molundinho skrev:Har fastnat på denna. Får fram att x3= pi * x2(36-x) och har försökt lösa detta utan resultat. All hjälp på vägen uppskattas, gärna en ledtråd i rätt riktning iallafall.
Bra start! Nästa steg är att dela med x2 på båda sidor. Hur ser ekvationen ut när du har gjort detta?
x = pi(36-x).. Kan det vara rätt?
x = pi(36-x).. Kan det vara rätt?
Ja, fortsätt! Kan du lösa ekvationen?
Smaragdalena skrev:x = pi(36-x).. Kan det vara rätt?
Ja, fortsätt! Kan du lösa ekvationen?
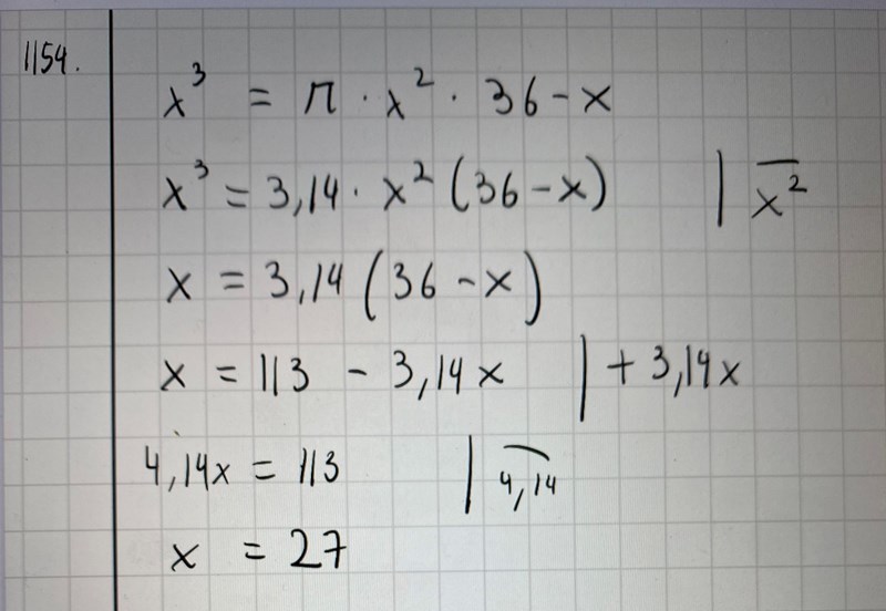
Jag fick rätt svar nu, såhär gjorde jag.. Set det bra ut? Tack för hjälpen :)
Du borde behålla lite längre, och skriva ett värde med fler värdesiffror innan du avrundar på slutet, och inte skriva när du menar , för övrigt ser det bra ut.