Matte 5000: De moivres formel: uppg. 4311
Hej.
Vill någon redovisa lösningen till a) samt b)
Jag får många sådana uppgifter och jag är lika "idelös" varje gång. Vi får dessa uppgifter, och vi har ingen genomgång på tavlan att utgå ifrån.
Om detta är ok, kan ni också försöka förklara i ord?

Argumentet för ett komplext tal z^6 är 6 gånger argumentet för z.
Argumentet för ett komplext tal z^2 är 2 gånger argumentet för z.
Argumentet för z/w är argumentet för z minus argumentet för w.
Bubo skrev:Argumentet för ett komplext tal z^6 är 6 gånger argumentet för z.
Argumentet för ett komplext tal z^2 är 2 gånger argumentet för z.
Argumentet för z/w är argumentet för z minus argumentet för w.
Förlåt, men detta är vad jag kunnat komma fram till med hjälp av er. Jag har inte kunnat haft något exempel på sådan uppgift på tavlan.

Nej, inte arctan(315grader).
315 grader, helt enkelt.
Bubo skrev:Nej, inte arctan(315grader).
315 grader, helt enkelt.
Ok.
Jag föredrar att göra följande:
Bild av enhetscirkeln ger:
360-315=45grader
=
En fråga.
Hur bestämmer vi absolutbeloppet?
När du multiplicerar komplexa tal så multiplicerar du beloppen och adderar argumenten, vid division är det division resp subtraktion som gäller
Tayzo569 skrev:Ok.
360-315=45grader
=
Inte riktigt rätt, teckenfel:
315 +N*360 ger -45
...men vad är argumentet för 1-i ?
Bubo skrev:...men vad är argumentet för 1-i ?
Hej Bubo
Jag vet nu hur jag ska räkna ut absolutbeloppet. I förra exemplet får jag anta att det blev 45° med ett teckenfel.
I detta försöket får jag rätt absolutbelopp till samtliga inklusive z.
Nu återstår frågan. Vad är argumentet?
Jag får argumentet till 19.38
Det står i exakt värden.
Vad är 19.38 I radianer?
Det kommer nog inte kunna bli PI/4
Och jag har då fel.
Jag fattar inte vad jag ska göra.

Man bör först bestämma i vilken kvadrant talen ligger. Se blå figurer.
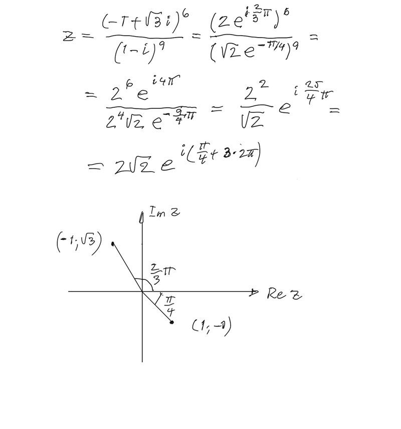
Första talet (-1 + sqrt(3)i) har negativ realdel och positiv imaginärdel. Då ligger det "uppe till vänster" i andra kvadranten, så argumentet är mellan 90 grader och 180 grader. Argumentet är 120 grader, eller 2pi/3.
Andra talet (1 - i) har positiv realdel och negativ imaginärdel. Då ligger det "nere till höger" i fjärde kvadranten, så argumentet är mellan 270 grader och 360 grader. Argumentet är 315 grader, eller 7pi/8.
Jag föredrar att räkna negativa vinklar i fjärde kvadranten: Andra talet (1 - i) har positiv realdel och negativ imaginärdel. Då ligger det "nere till höger" i fjärde kvadranten, så argumentet är mellan 0 grader och -90 grader. Argumentet är -45 grader, eller -pi/4. Men man kan räkna med 315 grader om man vill.
Beloppen har du rätt, 2 respektive sqrt(2). Täljaren blir 2^6 och nämnaren 2^(9/2). Behåll exakta värden så får du 2^(3/2). Det är ungefär 2.83, men du kan skriva det på ett snyggare sätt.
Argumentet blir 6 * 120 grader - 9 * 315 grader, eller som jag skulle räknat Argumentet blir 6*120 grader - 9*(-45)grader.
När du lägger till eller drar ifrån lämpligt antal varv, så blir det såklart samma argument.
Det jag har ringat in i rött är inte rätt. Man måste passa sig när man använder arctan, så att man verkligen hamnar i rätt kvadrant.
Skriv inte att en vinkel är lika med tangens för vinkeln, för det stämmer ju inte alls. En vinkel är en vinkel och tangens för vinkeln är ett tal.

Bubo skrev:Man bör först bestämma i vilken kvadrant talen ligger. Se blå figurer.
Första talet (-1 + sqrt(3)i) har negativ realdel och positiv imaginärdel. Då ligger det "uppe till vänster" i andra kvadranten, så argumentet är mellan 90 grader och 180 grader. Argumentet är 120 grader, eller 2pi/3.
Andra talet (1 - i) har positiv realdel och negativ imaginärdel. Då ligger det "nere till höger" i fjärde kvadranten, så argumentet är mellan 270 grader och 360 grader. Argumentet är 315 grader, eller 7pi/8.
Jag föredrar att räkna negativa vinklar i fjärde kvadranten: Andra talet (1 - i) har positiv realdel och negativ imaginärdel. Då ligger det "nere till höger" i fjärde kvadranten, så argumentet är mellan 0 grader och -90 grader. Argumentet är -45 grader, eller -pi/4. Men man kan räkna med 315 grader om man vill.
Beloppen har du rätt, 2 respektive sqrt(2). Täljaren blir 2^6 och nämnaren 2^(9/2). Behåll exakta värden så får du 2^(3/2). Det är ungefär 2.83, men du kan skriva det på ett snyggare sätt.
Argumentet blir 6 * 120 grader - 9 * 315 grader, eller som jag skulle räknat Argumentet blir 6*120 grader - 9*(-45)grader.
När du lägger till eller drar ifrån lämpligt antal varv, så blir det såklart samma argument.
Det jag har ringat in i rött är inte rätt. Man måste passa sig när man använder arctan, så att man verkligen hamnar i rätt kvadrant.
Skriv inte att en vinkel är lika med tangens för vinkeln, för det stämmer ju inte alls. En vinkel är en vinkel och tangens för vinkeln är ett tal.
Argumentet för är och är
Subtraktion av argumentet:
Kan vi skriva om argumentet fortfarande i grader? Hur kan vi skriva det i radianer? Är subtraktion av argumentet rätt?

720°−2835°= 720 ° - (2880°-45°)
Finessen är alltså att -2115 = -5*360 - 315
Att snurra runt fem hela varv kan vi strunta i, så argumentet blir-315 grader.
Finessen är alltså att -2115 = -6*360 + 45
Att snurra runt sex hela varv kan vi strunta i, så argumentet blir 45 grader.
Bubo skrev:Finessen är alltså att -2115 = -5*360 - 315
Att snurra runt fem hela varv kan vi strunta i, så argumentet blir-315 grader.
Finessen är alltså att -2115 = -6*360 + 45
Att snurra runt sex hela varv kan vi strunta i, så argumentet blir 45 grader.
Äntligen. Tack Allihopa!

