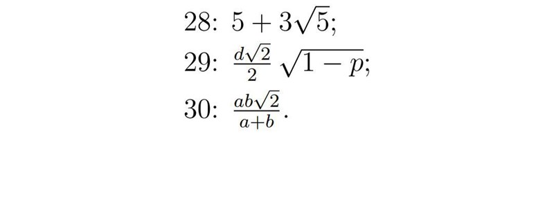
Matte fysik 2016 upg 30



Jag kanske tog för givet att höjden skulle bli hälften om de blev en uppdelning men hur löser man detta ?
jag räknade på att de (okända kateternas längd x höjden)/2 för bisektrisen måste vara lika med a*b/2. Dvs
((a x sin45+b x sin45) x h)/2 = ab/2.
Kan vara en lösning inte helt säker ifall den går att räkna såhär.
MrRobot skrev:jag räknade på att de (okända kateternas längd x höjden)/2 för bisektrisen måste vara lika med a*b/2. Dvs
((a x sin45+b x sin45) x h)/2 = ab/2.
Kan vara en lösning inte helt säker ifall den går att räkna såhär.
man får ändå inte ut svaret /:
MrRobot var ju så väldigt nära, men fick tyvärr med ett h för mycket.
Jan Ragnar skrev:MrRobot var ju så väldigt nära, men fick tyvärr med ett h för mycket.
Det var han, men tack för allt !