1
svar
153
visningar
Daniel_02 behöver inte mer hjälp
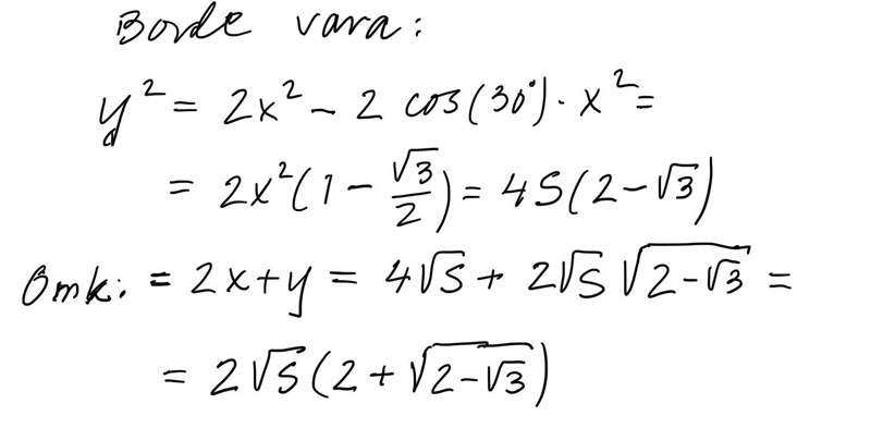
Matte fysik 2019 upg 30



Vad gjorde jag för fel ?
