3
svar
205
visningar
MADYAN behöver inte mer hjälp
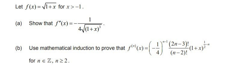
MATTE IB
1)
Tråd flyttad från Matematik 4/Komplexa tal till Matematik / Universitet. /Dracaena
En uppgift per tråd. Detta för att det inte skall bli en massa förvirringar. Visa också hur du själv har försökt. Jag fixar till delforumet också men i framtiden, se till att lägga dina trådar under rätt delforum. /Moderator.
Kan du visa mig hur man kan lösa den.
vad får du om du deriverar f(x) en gång? och sen ytterligare en gång?